IP - CA.1.ecmo_trach
CM Codes
Data Overview
11419 total codes in komodo_rii; 242 retained after n_claims > 500 filter.
| CMS severity | n codes |
|---|---|
| MCC | 86 |
| No CC/MCC | 79 |
| CC | 77 |
PCA Analysis
PC1 explains 26.0% of variance; PC1+PC2 together explain 48.2%.



Tier Clustering (k=4)

Tier Summary
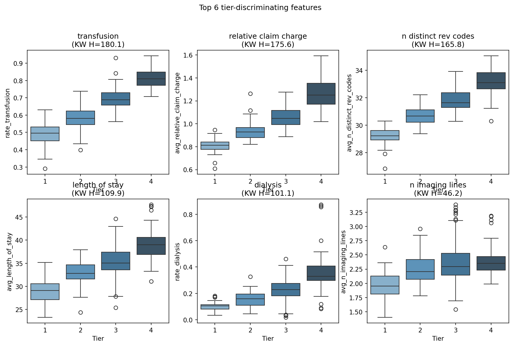
| tier | n_codes | n_claims | length of stay | n distinct rev codes | n j code lines | organ system count | n imaging lines | relative claim charge | work rvu | transfusion |
|---|---|---|---|---|---|---|---|---|---|---|
| 1 | 29.000 | 48645.000 | 28.869 | 29.151 | 2.250 | 7.087 | 1.952 | 0.804 | 3.611 | 0.486 |
| 2 | 85.000 | 237112.000 | 32.967 | 30.703 | 2.203 | 6.703 | 2.266 | 0.930 | 3.250 | 0.582 |
| 3 | 88.000 | 197814.000 | 35.179 | 31.804 | 2.329 | 6.487 | 2.388 | 1.058 | 3.551 | 0.692 |
| 4 | 40.000 | 56371.000 | 39.085 | 33.183 | 2.883 | 6.648 | 2.425 | 1.268 | 3.255 | 0.814 |
CMS Severity × intensity Tier
| cms_severity | Tier 1 | Tier 2 | Tier 3 | Tier 4 | All |
|---|---|---|---|---|---|
| CC | 3 | 28 | 34 | 12 | 77 |
| MCC | 1 | 23 | 37 | 25 | 86 |
| No CC/MCC | 25 | 34 | 17 | 3 | 79 |
| All | 29 | 85 | 88 | 40 | 242 |
Feature Analysis
Feature Correlation

Feature Audit
| pc1_loading | r_with_volume | r_with_severity | |
|---|---|---|---|
| avg_relative_claim_charge | 0.479 | -0.005 | 0.541 |
| rate_transfusion | 0.462 | -0.116 | 0.291 |
| avg_n_distinct_rev_codes | 0.458 | -0.166 | 0.312 |
| avg_length_of_stay | 0.390 | -0.048 | 0.404 |
| rate_dialysis | 0.336 | 0.072 | 0.283 |
| avg_n_imaging_lines | 0.202 | -0.057 | 0.392 |
| avg_n_j_code_lines | 0.111 | 0.035 | 0.081 |
| rate_icu | 0.055 | -0.126 | 0.044 |
| rate_or | 0.033 | -0.252 | -0.373 |
| avg_work_rvu | 0.001 | 0.181 | -0.012 |
| rate_multiple_or_days | -0.029 | 0.004 | -0.353 |
| rate_mechanical_ventilation | -0.067 | 0.028 | 0.122 |
| avg_n_distinct_hcps | -0.086 | -0.209 | -0.487 |
| avg_organ_system_count | -0.117 | -0.049 | -0.647 |
Top 6 Tier-Discriminating Features

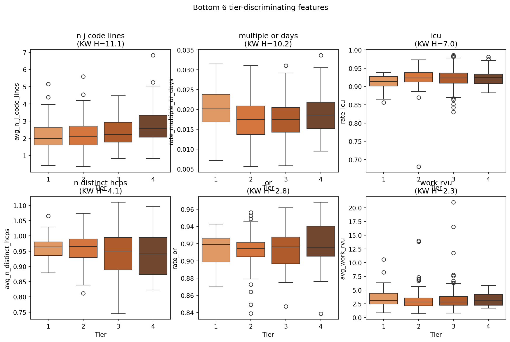
Bottom 6 Tier-Discriminating Features

Score Validation



Misclassification Audit (N=10 samples)
Over-tiered: Tier 4, No CC/MCC (3 codes)
| code | code_description | cms_severity | intensity_score | tier | n_claims | key_drivers |
|---|---|---|---|---|---|---|
| D84821 | Immunodeficiency due to drugs | No CC/MCC | 3.613 | 4 | 838 | n distinct rev codes (+0.97), dialysis (+0.76), length of stay (+0.62) |
| D6959 | Other secondary thrombocytopenia | No CC/MCC | 2.031 | 4 | 831 | transfusion (+0.73), n distinct rev codes (+0.60), relative claim charge (+0.33) |
| D631 | Anemia in chronic kidney disease | No CC/MCC | 1.892 | 4 | 1725 | dialysis (+1.06), transfusion (+0.48), n distinct rev codes (+0.45) |
Under-tiered: Tier 1, MCC (1 codes)
| code | code_description | cms_severity | intensity_score | tier | n_claims | key_drivers |
|---|---|---|---|---|---|---|
| J9690 | Respiratory failure, unspecified, unspecified whether with hypoxia or hypercapnia | MCC | -2.299 | 1 | 1105 | n distinct rev codes (-0.98), relative claim charge (-0.60), length of stay (-0.42) |
Top Codes by Tier
Tier 1 (n=29 codes)
| code | Description | CMS severity | Score | N claims | Key drivers |
|---|---|---|---|---|---|
| I69351 | Hemiplegia and hemiparesis following cerebral infarction affecting right dominant side | CC | -2.077 | 592 | relative claim charge (-0.51), transfusion (-0.46), n distinct rev codes (-0.46) |
| G40901 | Epilepsy, unspecified, not intractable, with status epilepticus | No CC/MCC | -2.140 | 914 | transfusion (-0.61), n distinct rev codes (-0.60), relative claim charge (-0.55) |
| E8342 | Hypomagnesemia | No CC/MCC | -2.149 | 1550 | relative claim charge (-0.51), transfusion (-0.37), length of stay (-0.35) |
| E860 | Dehydration | No CC/MCC | -2.257 | 1046 | relative claim charge (-0.51), n distinct rev codes (-0.48), transfusion (-0.39) |
| E876 | Hypokalemia | No CC/MCC | -2.283 | 4051 | relative claim charge (-0.50), transfusion (-0.45), n distinct rev codes (-0.44) |
| J45909 | Unspecified asthma, uncomplicated | No CC/MCC | -2.291 | 1088 | relative claim charge (-0.59), n distinct rev codes (-0.51), transfusion (-0.46) |
| J9690 | Respiratory failure, unspecified, unspecified whether with hypoxia or hypercapnia | MCC | -2.299 | 1105 | n distinct rev codes (-0.98), relative claim charge (-0.60), length of stay (-0.42) |
| D649 | Anemia, unspecified | No CC/MCC | -2.469 | 3503 | relative claim charge (-0.57), n distinct rev codes (-0.54), transfusion (-0.48) |
| B9620 | Unspecified Escherichia coli [E. coli] as the cause of diseases classified elsewhere | No CC/MCC | -2.515 | 517 | n distinct rev codes (-0.73), transfusion (-0.65), dialysis (-0.32) |
| J449 | Chronic obstructive pulmonary disease, unspecified | No CC/MCC | -2.610 | 1468 | n distinct rev codes (-0.74), relative claim charge (-0.53), length of stay (-0.49) |
Tier 2 (n=85 codes)
| code | Description | CMS severity | Score | N claims | Key drivers |
|---|---|---|---|---|---|
| J1282 | Pneumonia due to coronavirus disease 2019 | No CC/MCC | -0.252 | 1292 | n distinct rev codes (-0.50), relative claim charge (+0.29), organ system count (+0.16) |
| Q2112 | Patent foramen ovale | No CC/MCC | -0.284 | 661 | length of stay (-0.93), relative claim charge (+0.72), icu (-0.45) |
| E222 | Syndrome of inappropriate secretion of antidiuretic hormone | CC | -0.295 | 725 | dialysis (-0.36), length of stay (+0.34), transfusion (-0.33) |
| U071 | COVID-19 | MCC | -0.313 | 2082 | n distinct rev codes (-0.50), relative claim charge (+0.20), length of stay (+0.20) |
| G8250 | Quadriplegia, unspecified | MCC | -0.363 | 1619 | transfusion (-0.36), dialysis (-0.30), n imaging lines (+0.29) |
| G911 | Obstructive hydrocephalus | CC | -0.365 | 1449 | transfusion (-0.58), dialysis (-0.43), n imaging lines (+0.29) |
| T797XXA | Traumatic subcutaneous emphysema, initial encounter | CC | -0.372 | 614 | relative claim charge (-0.39), length of stay (-0.37), dialysis (-0.35) |
| E440 | Moderate protein-calorie malnutrition | CC | -0.399 | 3201 | relative claim charge (-0.13), transfusion (-0.11), dialysis (-0.11) |
| T17590A | Other foreign object in bronchus causing asphyxiation, initial encounter | CC | -0.407 | 596 | dialysis (-0.19), transfusion (-0.12), relative claim charge (+0.09) |
| I428 | Other cardiomyopathies | CC | -0.407 | 748 | n imaging lines (-0.17), n j code lines (-0.13), dialysis (+0.12) |
Tier 3 (n=88 codes)
| code | Description | CMS severity | Score | N claims | Key drivers |
|---|---|---|---|---|---|
| D849 | Immunodeficiency, unspecified | CC | 1.719 | 662 | n distinct rev codes (+0.58), transfusion (+0.34), dialysis (+0.30) |
| L89153 | Pressure ulcer of sacral region, stage 3 | MCC | 1.688 | 1421 | length of stay (+0.97), relative claim charge (+0.76), n distinct rev codes (-0.19) |
| T8111XA | Postprocedural cardiogenic shock, initial encounter | MCC | 1.608 | 802 | transfusion (+1.11), length of stay (-0.83), dialysis (+0.68) |
| J1569 | Pneumonia due to other Gram-negative bacteria | No CC/MCC | 1.601 | 2599 | relative claim charge (+0.53), length of stay (+0.35), n distinct hcps (+0.19) |
| J80 | Acute respiratory distress syndrome | MCC | 1.598 | 6675 | relative claim charge (+0.56), transfusion (+0.43), dialysis (+0.28) |
| I5043 | Acute on chronic combined systolic (congestive) and diastolic (congestive) heart failure | MCC | 1.595 | 1934 | relative claim charge (+0.46), dialysis (+0.32), transfusion (+0.28) |
| A0472 | Enterocolitis due to Clostridium difficile, not specified as recurrent | CC | 1.576 | 1272 | length of stay (+0.75), n distinct rev codes (+0.48), relative claim charge (+0.29) |
| A4159 | Other Gram-negative sepsis | MCC | 1.575 | 1428 | relative claim charge (+0.67), length of stay (+0.42), transfusion (+0.29) |
| S270XXA | Traumatic pneumothorax, initial encounter | CC | 1.467 | 1052 | n distinct rev codes (+0.72), n imaging lines (+0.51), transfusion (+0.45) |
| J150 | Pneumonia due to Klebsiella pneumoniae | MCC | 1.370 | 3365 | relative claim charge (+0.46), length of stay (+0.43), organ system count (+0.13) |
Tier 4 (n=40 codes)
| code | Description | CMS severity | Score | N claims | Key drivers |
|---|---|---|---|---|---|
| B377 | Candidal sepsis | MCC | 5.545 | 656 | relative claim charge (+1.64), length of stay (+1.22), n distinct rev codes (+0.86) |
| A4181 | Sepsis due to Enterococcus | MCC | 5.012 | 732 | relative claim charge (+1.68), length of stay (+1.14), n distinct rev codes (+0.76) |
| K651 | Peritoneal abscess | MCC | 4.812 | 1168 | relative claim charge (+1.35), length of stay (+1.25), n distinct rev codes (+0.97) |
| K661 | Hemoperitoneum | MCC | 4.365 | 747 | n distinct rev codes (+1.22), transfusion (+1.14), relative claim charge (+1.06) |
| N186 | End stage renal disease | MCC | 4.237 | 4095 | dialysis (+1.77), relative claim charge (+0.82), transfusion (+0.65) |
| D65 | Disseminated intravascular coagulation [defibrination syndrome] | MCC | 4.187 | 1277 | relative claim charge (+1.22), transfusion (+1.15), dialysis (+0.83) |
| I132 | Hypertensive heart and chronic kidney disease with heart failure and with stage 5 chronic kidney disease, or end stage renal disease | CC | 3.946 | 1543 | dialysis (+1.79), transfusion (+0.69), relative claim charge (+0.65) |
| I330 | Acute and subacute infective endocarditis | MCC | 3.931 | 1059 | relative claim charge (+0.90), n distinct rev codes (+0.86), transfusion (+0.83) |
| J942 | Hemothorax | CC | 3.840 | 623 | transfusion (+1.04), n distinct rev codes (+0.93), relative claim charge (+0.74) |
| T794XXA | Traumatic shock, initial encounter | MCC | 3.706 | 1482 | n distinct rev codes (+1.14), transfusion (+1.03), relative claim charge (+0.75) |
Key Driver Frequency
| feature | count | pct |
|---|---|---|
| relative claim charge | 161 | 66.500 |
| transfusion | 153 | 63.200 |
| n distinct rev codes | 143 | 59.100 |
| length of stay | 107 | 44.200 |
| dialysis | 76 | 31.400 |
| n imaging lines | 44 | 18.200 |
| organ system count | 16 | 6.600 |
| n j code lines | 12 | 5.000 |
| n distinct hcps | 11 | 4.500 |
| mechanical ventilation | 2 | 0.800 |
| icu | 1 | 0.400 |

PCS Codes
Data Overview
10396 total codes in komodo_rii; 124 retained after n_claims > 500 filter.
PCA Analysis
PC1 explains 31.6% of variance; PC1+PC2 together explain 52.1%.



Tier Clustering (k=3)

Tier Summary
| tier | n_codes | n_claims | length of stay | work rvu | n j code lines | n imaging lines | organ system count | n distinct rev codes | mechanical ventilation | transfusion |
|---|---|---|---|---|---|---|---|---|---|---|
| 1 | 58.000 | 225593.000 | 35.036 | 2.687 | 2.494 | 2.506 | 6.293 | 31.842 | 0.915 | 0.622 |
| 2 | 44.000 | 92660.000 | 35.904 | 3.929 | 3.317 | 2.279 | 6.405 | 32.239 | 0.871 | 0.744 |
| 3 | 22.000 | 24778.000 | 28.760 | 4.013 | 3.731 | 1.703 | 5.675 | 32.267 | 0.556 | 0.880 |
Feature Analysis
Feature Correlation

Feature Audit
| pc1_loading | r_with_volume | |
|---|---|---|
| rate_transfusion | 0.355 | -0.155 |
| avg_relative_claim_charge | 0.303 | -0.257 |
| rate_dialysis | 0.300 | -0.070 |
| avg_n_j_code_lines | 0.174 | 0.023 |
| rate_multiple_or_days | 0.160 | -0.171 |
| avg_work_rvu | 0.121 | 0.087 |
| rate_or | 0.100 | -0.187 |
| avg_n_distinct_rev_codes | 0.069 | -0.288 |
| avg_organ_system_count | -0.190 | -0.003 |
| avg_length_of_stay | -0.193 | -0.110 |
| avg_n_distinct_hcps | -0.275 | -0.033 |
| avg_n_imaging_lines | -0.357 | 0.075 |
| rate_icu | -0.384 | -0.077 |
| rate_mechanical_ventilation | -0.429 | 0.128 |
Top 6 Tier-Discriminating Features

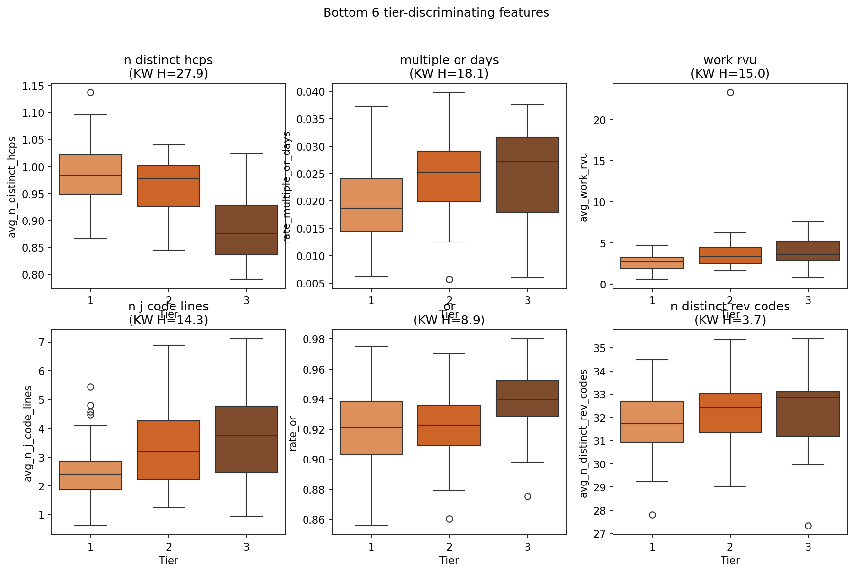
Bottom 6 Tier-Discriminating Features

Score Validation


Top Codes by Tier
Tier 1 (n=58 codes)
| code | Description | Score | N claims | Key drivers |
|---|---|---|---|---|
| 0W9B3ZZ | DRAINAGE OF LEFT PLEURAL CAVITY, PERCUTANEOUS APPROACH | -0.743 | 656 | length of stay (-0.31), transfusion (+0.27), icu (-0.27) |
| 0W993ZZ | DRAINAGE OF RIGHT PLEURAL CAVITY, PERCUTANEOUS APPROACH | -0.752 | 897 | n distinct hcps (-0.34), relative claim charge (+0.28), transfusion (+0.27) |
| 3E033XZ | INTRODUCTION OF VASOPRESSOR INTO PERIPHERAL VEIN, PERCUTANEOUS APPROACH | -0.781 | 3062 | relative claim charge (-0.36), icu (-0.23), mechanical ventilation (-0.22) |
| 0DH68UZ | INSERTION OF FEEDING DEVICE INTO STOMACH, VIA NATURAL OR ARTIFICIAL OPENING ENDOSCOPIC | -0.874 | 1193 | transfusion (-0.40), mechanical ventilation (-0.23), relative claim charge (-0.21) |
| 0B113F4 | BYPASS TRACHEA TO CUTANEOUS WITH TRACHEOSTOMY DEVICE, PERCUTANEOUS APPROACH | -0.934 | 22238 | n distinct hcps (+0.39), transfusion (-0.26), or (-0.25) |
| 05HY33Z | INSERTION OF INFUSION DEVICE INTO UPPER VEIN, PERCUTANEOUS APPROACH | -0.949 | 1126 | n distinct hcps (+0.26), mechanical ventilation (-0.24), relative claim charge (-0.20) |
| 03HY32Z | INSERTION OF MONITORING DEVICE INTO UPPER ARTERY, PERCUTANEOUS APPROACH | -0.956 | 8596 | icu (-0.21), mechanical ventilation (-0.18), relative claim charge (-0.18) |
| 02HV33Z | INSERTION OF INFUSION DEVICE INTO SUPERIOR VENA CAVA, PERCUTANEOUS APPROACH | -0.990 | 15881 | mechanical ventilation (-0.21), icu (-0.15), transfusion (-0.11) |
| 3E043XZ | INTRODUCTION OF VASOPRESSOR INTO CENTRAL VEIN, PERCUTANEOUS APPROACH | -1.028 | 3170 | n distinct hcps (-0.58), relative claim charge (-0.19), organ system count (-0.14) |
| 5A1955Z | RESPIRATORY VENTILATION, GREATER THAN 96 CONSECUTIVE HOURS | -1.063 | 45448 | mechanical ventilation (-0.49), n distinct hcps (+0.24), transfusion (-0.23) |
Tier 2 (n=44 codes)
| code | Description | Score | N claims | Key drivers |
|---|---|---|---|---|
| B246ZZ4 | ULTRASONOGRAPHY OF RIGHT AND LEFT HEART, TRANSESOPHAGEAL | 1.725 | 566 | transfusion (+0.37), multiple or days (+0.31), or (+0.18) |
| 3E0436Z | INTRODUCTION OF NUTRITIONAL SUBSTANCE INTO CENTRAL VEIN, PERCUTANEOUS APPROACH | 1.477 | 779 | icu (+0.98), transfusion (+0.31), relative claim charge (+0.27) |
| 5A1D90Z | PERFORMANCE OF URINARY FILTRATION, CONTINUOUS, GREATER THAN 18 HOURS PER DAY | 1.419 | 2388 | dialysis (+1.12), transfusion (+0.56), n distinct hcps (-0.25) |
| 0D1B0Z4 | BYPASS ILEUM TO CUTANEOUS, OPEN APPROACH | 1.176 | 645 | relative claim charge (+0.90), n distinct hcps (+0.50), transfusion (+0.37) |
| B2111ZZ | FLUOROSCOPY OF MULTIPLE CORONARY ARTERIES USING LOW OSMOLAR CONTRAST | 1.174 | 1451 | icu (+0.42), mechanical ventilation (+0.33), n imaging lines (+0.29) |
| 0W3P8ZZ | CONTROL BLEEDING IN GASTROINTESTINAL TRACT, VIA NATURAL OR ARTIFICIAL OPENING ENDOSCOPIC | 1.102 | 647 | transfusion (+0.54), relative claim charge (+0.52), length of stay (-0.35) |
| 4A023N7 | MEASUREMENT OF CARDIAC SAMPLING AND PRESSURE, LEFT HEART, PERCUTANEOUS APPROACH | 0.988 | 1027 | icu (+0.40), mechanical ventilation (+0.35), n imaging lines (+0.31) |
| 0B9H8ZX | DRAINAGE OF LUNG LINGULA, VIA NATURAL OR ARTIFICIAL OPENING ENDOSCOPIC, DIAGNOSTIC | 0.970 | 644 | work rvu (+1.07), n j code lines (+0.50), icu (-0.41) |
| 0JH63XZ | INSERTION OF TUNNELED VASCULAR ACCESS DEVICE INTO CHEST SUBCUTANEOUS TISSUE AND FASCIA, PERCUTANEOUS APPROACH | 0.876 | 1711 | dialysis (+1.07), transfusion (+0.41), organ system count (-0.39) |
| B24BZZ4 | ULTRASONOGRAPHY OF HEART WITH AORTA, TRANSESOPHAGEAL | 0.809 | 1226 | mechanical ventilation (+0.23), transfusion (+0.23), icu (+0.20) |
Tier 3 (n=22 codes)
| code | Description | Score | N claims | Key drivers |
|---|---|---|---|---|
| 5A1522F | EXTRACORPOREAL OXYGENATION, MEMBRANE, CENTRAL | 5.795 | 872 | mechanical ventilation (+1.76), icu (+0.92), n imaging lines (+0.71) |
| 0BYM0Z0 | TRANSPLANTATION OF BILATERAL LUNGS, ALLOGENEIC, OPEN APPROACH | 5.684 | 539 | mechanical ventilation (+1.34), relative claim charge (+1.26), dialysis (+1.23) |
| 02HA3RZ | INSERTION OF SHORT-TERM EXTERNAL HEART ASSIST SYSTEM INTO HEART, PERCUTANEOUS APPROACH | 4.961 | 1054 | mechanical ventilation (+1.22), icu (+0.77), n imaging lines (+0.63) |
| 5A1522G | EXTRACORPOREAL OXYGENATION, MEMBRANE, PERIPHERAL VENO-ARTERIAL | 4.950 | 4846 | mechanical ventilation (+1.30), icu (+0.93), length of stay (+0.64) |
| 02PA3RZ | REMOVAL OF SHORT-TERM EXTERNAL HEART ASSIST SYSTEM FROM HEART, PERCUTANEOUS APPROACH | 4.877 | 572 | mechanical ventilation (+0.99), transfusion (+0.58), n j code lines (+0.52) |
| 5A0221D | ASSISTANCE WITH CARDIAC OUTPUT USING IMPELLER PUMP, CONTINUOUS | 4.718 | 1065 | mechanical ventilation (+1.16), icu (+0.76), n imaging lines (+0.61) |
| 021009W | BYPASS CORONARY ARTERY, ONE ARTERY FROM AORTA WITH AUTOLOGOUS VENOUS TISSUE, OPEN APPROACH | 4.486 | 630 | mechanical ventilation (+0.80), icu (+0.61), transfusion (+0.59) |
| 06BQ4ZZ | EXCISION OF LEFT SAPHENOUS VEIN, PERCUTANEOUS ENDOSCOPIC APPROACH | 4.456 | 923 | icu (+0.95), mechanical ventilation (+0.63), n distinct hcps (+0.59) |
| 02100Z9 | BYPASS CORONARY ARTERY, ONE ARTERY FROM LEFT INTERNAL MAMMARY, OPEN APPROACH | 4.278 | 1291 | icu (+0.84), n distinct hcps (+0.72), mechanical ventilation (+0.62) |
| 021109W | BYPASS CORONARY ARTERY, TWO ARTERIES FROM AORTA WITH AUTOLOGOUS VENOUS TISSUE, OPEN APPROACH | 4.254 | 677 | icu (+1.07), n distinct hcps (+0.67), mechanical ventilation (+0.66) |
Key Driver Frequency
| feature | count | pct |
|---|---|---|
| icu | 63 | 50.800 |
| mechanical ventilation | 61 | 49.200 |
| transfusion | 61 | 49.200 |
| relative claim charge | 40 | 32.300 |
| n distinct hcps | 37 | 29.800 |
| n imaging lines | 34 | 27.400 |
| organ system count | 18 | 14.500 |
| dialysis | 18 | 14.500 |
| n j code lines | 17 | 13.700 |
| length of stay | 10 | 8.100 |
| multiple or days | 9 | 7.300 |
| or | 3 | 2.400 |
| work rvu | 1 | 0.800 |
