Skip to main content

IP - PU.1.ventilator_under_96

CM Codes

Data Overview

9899 total codes in komodo_rii; 235 retained after n_claims > 500 filter.

CMS severityn codes
No CC/MCC119
CC71
MCC45

PCA Analysis

PC1 explains 35.3% of variance; PC1+PC2 together explain 51.0%.

PCA scree plot

Feature loadings

intensity distribution

Tier Clustering (k=3)

KMeans elbow

Tier Summary

tiern_codesn_claimsn distinct rev codeslength of stayorgan system countn imaging linesn j code linesrelative claim chargework rvutransfusion
126.00025646.00017.5836.0825.0340.8940.5810.8770.5700.054
2147.000564059.00020.7448.2265.9621.2170.6661.0500.6610.114
362.00098831.00021.9329.9265.9201.2950.9381.2260.8780.202

CMS Severity × intensity Tier

cms_severityTier 1Tier 2Tier 3All
CC6392671
MCC5231745
No CC/MCC158519119
All2614762235

Feature Analysis

Feature Correlation

Feature correlation heatmap

Feature Audit

pc1_loadingr_with_volumer_with_severity
rate_or0.4090.0250.240
avg_n_distinct_rev_codes0.3970.0370.179
avg_relative_claim_charge0.3870.0160.343
avg_length_of_stay0.3530.0530.254
rate_transfusion0.3490.0750.338
rate_multiple_or_days0.2970.0240.037
avg_n_j_code_lines0.2320.0790.060
avg_n_imaging_lines0.228-0.0140.031
avg_work_rvu0.2090.0790.045
avg_organ_system_count0.1510.019-0.601
rate_dialysis0.1230.2300.250
rate_icu0.0530.043-0.253
rate_mechanical_ventilation-0.000nannan
avg_n_distinct_hcps-0.006-0.174-0.603

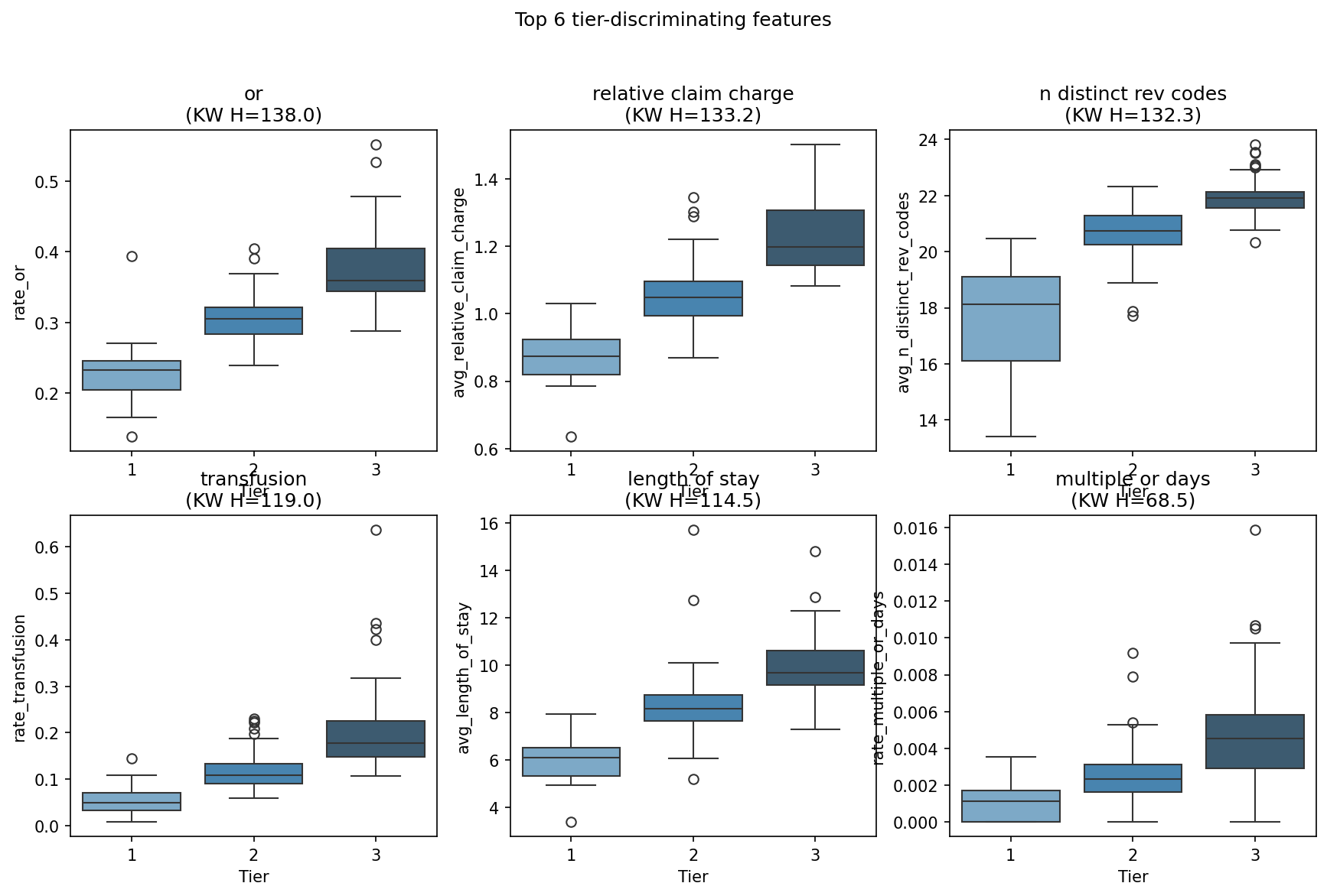
Top 6 Tier-Discriminating Features

Top 6 features

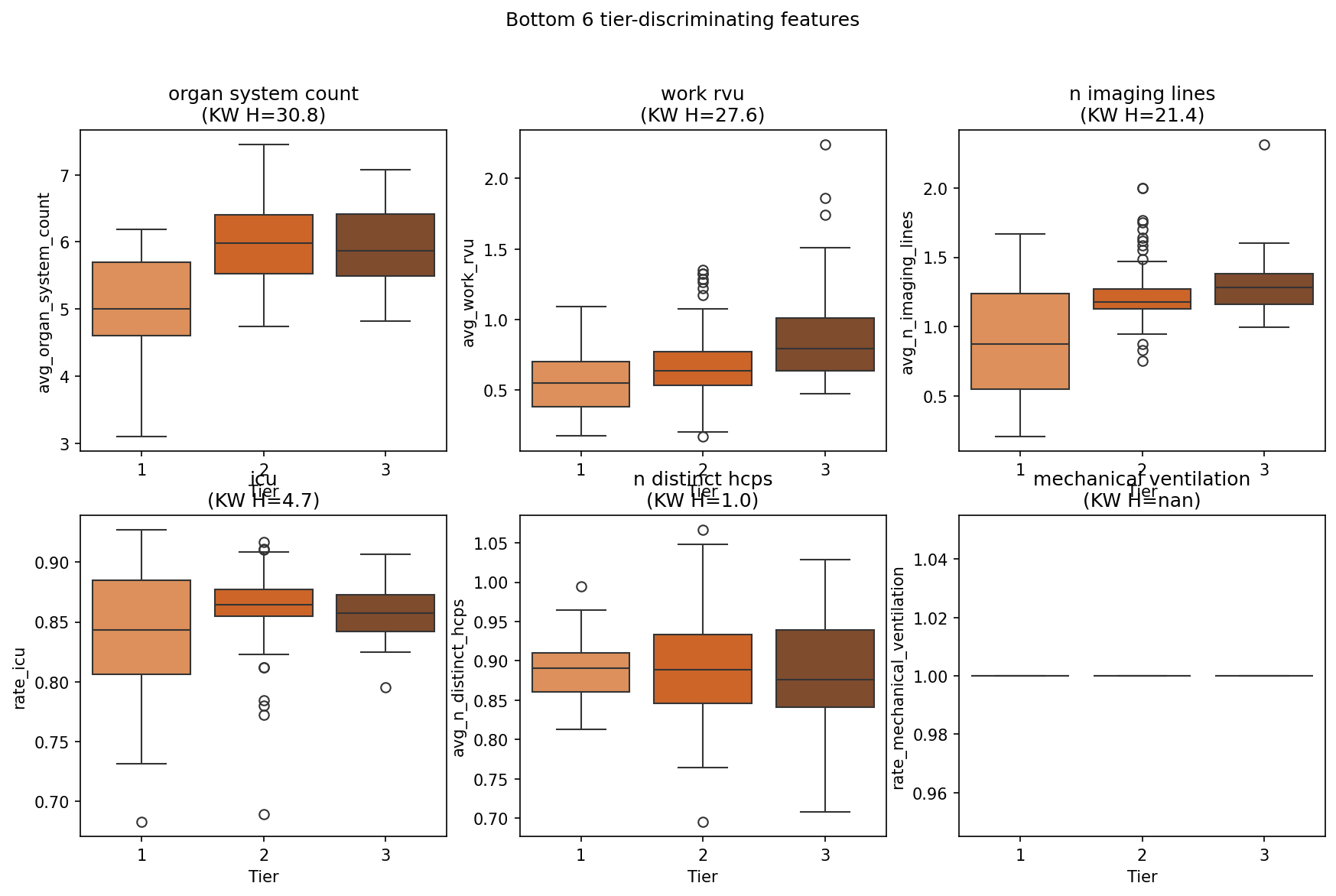
Bottom 6 Tier-Discriminating Features

Bottom 6 features

Score Validation

intensity by CMS severity

Volume vs intensity

intensity scatter

Misclassification Audit (N=10 samples)

Over-tiered: Tier 3, No CC/MCC (5 codes)

codecode_descriptioncms_severityintensity_scoretiern_claimskey_drivers
D84821Immunodeficiency due to drugsNo CC/MCC8.3053751n j code lines (+1.93), multiple or days (+1.76), work rvu (+1.12)
E8770Fluid overload, unspecifiedNo CC/MCC2.92531069work rvu (+0.85), n j code lines (+0.48), dialysis (+0.32)
J8410Pulmonary fibrosis, unspecifiedNo CC/MCC2.6573621n j code lines (+1.02), or (+0.50), multiple or days (+0.40)
E11649Type 2 diabetes mellitus with hypoglycemia without comaNo CC/MCC2.55931155n distinct rev codes (+0.62), length of stay (+0.47), relative claim charge (+0.33)
D631Anemia in chronic kidney diseaseNo CC/MCC2.45933356transfusion (+0.57), dialysis (+0.46), n distinct rev codes (+0.40)

Under-tiered: Tier 1, MCC (5 codes)

codecode_descriptioncms_severityintensity_scoretiern_claimskey_drivers
G800Spastic quadriplegic cerebral palsyMCC-4.9781518n distinct rev codes (-1.62), or (-0.79), n imaging lines (-0.75)
J9620Acute and chronic respiratory failure, unspecified whether with hypoxia or hypercapniaMCC-4.7121881n distinct rev codes (-1.26), or (-1.08), n imaging lines (-0.64)
G8250Quadriplegia, unspecifiedMCC-4.2481589n distinct rev codes (-1.13), or (-0.50), relative claim charge (-0.44)
J9600Acute respiratory failure, unspecified whether with hypoxia or hypercapniaMCC-2.93314358relative claim charge (-0.75), n distinct rev codes (-0.61), or (-0.55)
J9691Respiratory failure, unspecified with hypoxiaMCC-2.3751633relative claim charge (-0.55), length of stay (-0.44), n distinct rev codes (-0.43)

Top Codes by Tier

Tier 1 (n=26 codes)

codeDescriptionCMS severityScoreN claimsKey drivers
F4310Post-traumatic stress disorder, unspecifiedNo CC/MCC-2.181717relative claim charge (-0.52), length of stay (-0.50), or (-0.42)
F1510Other stimulant abuse, uncomplicatedNo CC/MCC-2.315919relative claim charge (-0.64), length of stay (-0.56), n distinct rev codes (-0.44)
G40909Epilepsy, unspecified, not intractable, without status epilepticusNo CC/MCC-2.3623151or (-0.48), relative claim charge (-0.38), multiple or days (-0.31)
J9691Respiratory failure, unspecified with hypoxiaMCC-2.375633relative claim charge (-0.55), length of stay (-0.44), n distinct rev codes (-0.43)
F1410Cocaine abuse, uncomplicatedNo CC/MCC-2.445863relative claim charge (-0.62), or (-0.58), length of stay (-0.48)
F1910Other psychoactive substance abuse, uncomplicatedNo CC/MCC-2.567559relative claim charge (-0.74), length of stay (-0.53), or (-0.51)
J398Other specified diseases of upper respiratory tractNo CC/MCC-2.579533n distinct rev codes (-0.79), or (+0.57), relative claim charge (-0.45)
G40901Epilepsy, unspecified, not intractable, with status epilepticusNo CC/MCC-2.6881187or (-0.65), relative claim charge (-0.60), length of stay (-0.49)
J101Influenza due to other identified influenza virus with other respiratory manifestationsNo CC/MCC-2.849761n distinct rev codes (-0.44), transfusion (-0.34), or (-0.33)
J9600Acute respiratory failure, unspecified whether with hypoxia or hypercapniaMCC-2.9334358relative claim charge (-0.75), n distinct rev codes (-0.61), or (-0.55)

Tier 2 (n=147 codes)

codeDescriptionCMS severityScoreN claimsKey drivers
E874Mixed disorder of acid-base balanceCC1.0454278relative claim charge (+0.30), multiple or days (+0.24), n j code lines (+0.18)
E871Hypo-osmolality and hyponatremiaCC1.0338172n distinct rev codes (+0.24), or (+0.21), relative claim charge (+0.20)
J1282Pneumonia due to coronavirus disease 2019No CC/MCC1.0122764relative claim charge (+0.59), length of stay (+0.28), organ system count (-0.18)
J9811AtelectasisCC1.0074781or (+0.22), relative claim charge (+0.22), length of stay (+0.21)
I480Paroxysmal atrial fibrillationNo CC/MCC0.9744037length of stay (+0.21), work rvu (+0.17), n distinct rev codes (+0.14)
K5900Constipation, unspecifiedNo CC/MCC0.9241665length of stay (+0.33), organ system count (+0.23), multiple or days (+0.22)
E8351HypocalcemiaNo CC/MCC0.9001290n distinct rev codes (+0.29), transfusion (+0.23), relative claim charge (+0.17)
E873AlkalosisCC0.9002807relative claim charge (+0.40), length of stay (+0.34), n distinct rev codes (+0.15)
I132Hypertensive heart and chronic kidney disease with heart failure and with stage 5 chronic kidney disease, or end stage renal diseaseCC0.8913057dialysis (+0.83), transfusion (+0.49), multiple or days (-0.31)
E875HyperkalemiaNo CC/MCC0.8344619multiple or days (+0.20), organ system count (+0.17), dialysis (+0.16)

Tier 3 (n=62 codes)

codeDescriptionCMS severityScoreN claimsKey drivers
D84821Immunodeficiency due to drugsNo CC/MCC8.305751n j code lines (+1.93), multiple or days (+1.76), work rvu (+1.12)
D61818Other pancytopeniaCC6.128887transfusion (+1.43), or (+1.01), multiple or days (+0.93)
D62Acute posthemorrhagic anemiaCC5.8162699transfusion (+2.48), or (+0.94), n distinct rev codes (+0.73)
J918Pleural effusion in other conditions classified elsewhereCC5.410897or (+1.53), relative claim charge (+1.05), n distinct rev codes (+0.81)
J910Malignant pleural effusionCC5.136538or (+1.71), multiple or days (+1.06), work rvu (+0.59)
B370Candidal stomatitisCC4.709568length of stay (+1.39), relative claim charge (+1.19), multiple or days (+0.53)
N170Acute kidney failure with tubular necrosisMCC4.0814183relative claim charge (+0.84), or (+0.79), transfusion (+0.76)
E222Syndrome of inappropriate secretion of antidiuretic hormoneCC3.702615relative claim charge (+0.85), length of stay (+0.80), n j code lines (+0.75)
J150Pneumonia due to Klebsiella pneumoniaeMCC3.432602relative claim charge (+1.08), length of stay (+0.84), work rvu (+0.35)
A419Sepsis, unspecified organismMCC3.3797729or (+0.77), relative claim charge (+0.66), n distinct rev codes (+0.39)

Key Driver Frequency

featurecountpct
relative claim charge12452.800
or10343.800
n distinct rev codes9339.600
length of stay7833.200
multiple or days7632.300
transfusion7130.200
n j code lines3916.600
work rvu3916.600
organ system count3715.700
n imaging lines3715.700
dialysis83.400

Key driver frequency

PCS Codes

Data Overview

2105 total codes in komodo_rii; 61 retained after n_claims > 500 filter.

PCA Analysis

PC1 explains 34.3% of variance; PC1+PC2 together explain 50.7%.

PCA scree plot

Feature loadings

intensity distribution

Tier Clustering (k=3)

KMeans elbow

Tier Summary

tiern_codesn_claimslength of stayn distinct rev codesn j code lineswork rvuorgan system countrelative claim chargen imaging linesor
125.000180200.0008.30720.8880.6900.5685.1471.1391.2010.348
225.00062449.0009.45222.3951.0480.7975.3501.2861.4140.430
311.00012398.00011.92924.4631.2630.9925.5151.5021.4460.564

Feature Analysis

Feature Correlation

Feature correlation heatmap

Feature Audit

pc1_loadingr_with_volume
avg_n_distinct_rev_codes0.388-0.254
avg_relative_claim_charge0.356-0.174
rate_multiple_or_days0.3450.052
avg_length_of_stay0.319-0.124
rate_or0.314-0.184
avg_work_rvu0.2910.073
avg_n_j_code_lines0.2790.109
avg_organ_system_count0.278-0.242
rate_transfusion0.2410.126
rate_icu0.226-0.268
avg_n_imaging_lines0.202-0.151
rate_dialysis0.0980.079
avg_n_distinct_hcps0.070-0.036
rate_mechanical_ventilation-0.000nan

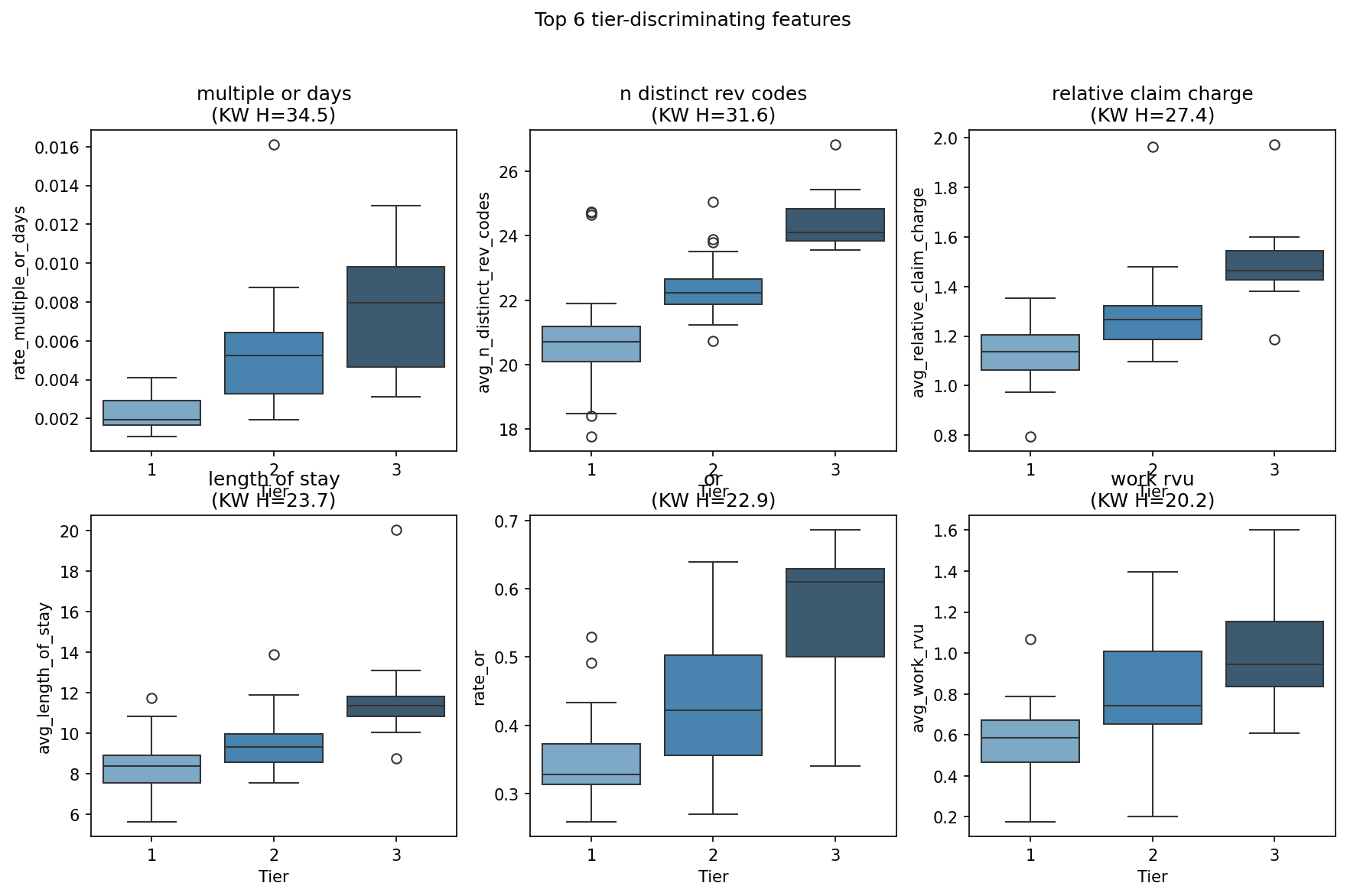
Top 6 Tier-Discriminating Features

Top 6 features

Bottom 6 Tier-Discriminating Features

Bottom 6 features

Score Validation

Volume vs intensity

intensity scatter

Top Codes by Tier

Tier 1 (n=25 codes)

codeDescriptionScoreN claimsKey drivers
B2111ZZFLUOROSCOPY OF MULTIPLE CORONARY ARTERIES USING LOW OSMOLAR CONTRAST-0.7731592n distinct rev codes (+0.55), n j code lines (-0.33), work rvu (-0.30)
06HM33ZINSERTION OF INFUSION DEVICE INTO RIGHT FEMORAL VEIN, PERCUTANEOUS APPROACH-0.858613multiple or days (-0.33), length of stay (-0.28), n distinct rev codes (-0.22)
05HN33ZINSERTION OF INFUSION DEVICE INTO LEFT INTERNAL JUGULAR VEIN, PERCUTANEOUS APPROACH-1.009510work rvu (-0.47), multiple or days (-0.29), n j code lines (-0.26)
XW033E5INTRODUCTION OF REMDESIVIR ANTI-INFECTIVE INTO PERIPHERAL VEIN, PERCUTANEOUS APPROACH, NEW TECHNOLOGY GROUP 5-1.0141704work rvu (+0.34), organ system count (-0.32), icu (-0.32)
B2151ZZFLUOROSCOPY OF LEFT HEART USING LOW OSMOLAR CONTRAST-1.042639n distinct rev codes (+0.54), n j code lines (-0.43), multiple or days (-0.33)
4A023N7MEASUREMENT OF CARDIAC SAMPLING AND PRESSURE, LEFT HEART, PERCUTANEOUS APPROACH-1.0841342n distinct rev codes (+0.53), n j code lines (-0.29), or (-0.25)
5A09457ASSISTANCE WITH RESPIRATORY VENTILATION, 24-96 CONSECUTIVE HOURS, CONTINUOUS POSITIVE AIRWAY PRESSURE-1.1952118or (-0.26), work rvu (-0.24), organ system count (-0.23)
3E0333ZINTRODUCTION OF ANTI-INFLAMMATORY INTO PERIPHERAL VEIN, PERCUTANEOUS APPROACH-1.288582multiple or days (-0.32), or (-0.28), n j code lines (+0.26)
5A2204ZRESTORATION OF CARDIAC RHYTHM, SINGLE-1.2971155multiple or days (-0.32), relative claim charge (-0.22), icu (-0.17)
04HY32ZINSERTION OF MONITORING DEVICE INTO LOWER ARTERY, PERCUTANEOUS APPROACH-1.5171575length of stay (-0.39), multiple or days (-0.37), icu (-0.36)

Tier 2 (n=25 codes)

codeDescriptionScoreN claimsKey drivers
4A133R1MONITORING OF ARTERIAL SATURATION, PERIPHERAL, PERCUTANEOUS APPROACH1.703558multiple or days (+1.28), n j code lines (+0.63), work rvu (+0.40)
02H633ZINSERTION OF INFUSION DEVICE INTO RIGHT ATRIUM, PERCUTANEOUS APPROACH1.567880relative claim charge (+0.38), n distinct rev codes (+0.35), or (+0.32)
3E043XZINTRODUCTION OF VASOPRESSOR INTO CENTRAL VEIN, PERCUTANEOUS APPROACH1.4402782work rvu (+0.68), n j code lines (+0.45), icu (+0.31)
0W993ZZDRAINAGE OF RIGHT PLEURAL CAVITY, PERCUTANEOUS APPROACH1.4331308n distinct rev codes (+0.62), or (+0.59), length of stay (+0.37)
0DH67UZINSERTION OF FEEDING DEVICE INTO STOMACH, VIA NATURAL OR ARTIFICIAL OPENING1.2161564n j code lines (+0.48), work rvu (+0.39), multiple or days (+0.28)
B24BZZZULTRASONOGRAPHY OF HEART WITH AORTA1.009861multiple or days (+0.46), work rvu (+0.34), organ system count (+0.27)
0W9930ZDRAINAGE OF RIGHT PLEURAL CAVITY WITH DRAINAGE DEVICE, PERCUTANEOUS APPROACH0.9051767organ system count (-0.39), multiple or days (+0.29), or (+0.24)
0BJ08ZZINSPECTION OF TRACHEOBRONCHIAL TREE, VIA NATURAL OR ARTIFICIAL OPENING ENDOSCOPIC0.8742213or (+0.54), n j code lines (+0.46), multiple or days (+0.26)
4A133J1MONITORING OF ARTERIAL PULSE, PERIPHERAL, PERCUTANEOUS APPROACH0.7721948organ system count (+0.29), work rvu (+0.28), n j code lines (+0.24)
B548ZZAULTRASONOGRAPHY OF SUPERIOR VENA CAVA, GUIDANCE0.7651779n j code lines (+0.26), or (+0.19), multiple or days (+0.12)

Tier 3 (n=11 codes)

codeDescriptionScoreN claimsKey drivers
0DH63UZINSERTION OF FEEDING DEVICE INTO STOMACH, PERCUTANEOUS APPROACH6.911701length of stay (+1.59), relative claim charge (+1.24), n distinct rev codes (+0.99)
5A1D90ZPERFORMANCE OF URINARY FILTRATION, CONTINUOUS, GREATER THAN 18 HOURS PER DAY4.619596organ system count (+0.76), n j code lines (+0.60), relative claim charge (+0.59)
30233N1TRANSFUSION OF NONAUTOLOGOUS RED BLOOD CELLS INTO PERIPHERAL VEIN, PERCUTANEOUS APPROACH3.2903231transfusion (+1.43), n distinct rev codes (+0.40), multiple or days (+0.38)
0W9B3ZZDRAINAGE OF LEFT PLEURAL CAVITY, PERCUTANEOUS APPROACH3.055821multiple or days (+0.93), or (+0.72), n distinct rev codes (+0.69)
0B9G8ZXDRAINAGE OF LEFT UPPER LUNG LOBE, VIA NATURAL OR ARTIFICIAL OPENING ENDOSCOPIC, DIAGNOSTIC3.021527multiple or days (+0.68), or (+0.56), n distinct rev codes (+0.54)
0DJ08ZZINSPECTION OF UPPER INTESTINAL TRACT, VIA NATURAL OR ARTIFICIAL OPENING ENDOSCOPIC3.017892transfusion (+0.62), n distinct rev codes (+0.61), organ system count (+0.57)
0B9J8ZXDRAINAGE OF LEFT LOWER LUNG LOBE, VIA NATURAL OR ARTIFICIAL OPENING ENDOSCOPIC, DIAGNOSTIC2.7341279n j code lines (+0.52), or (+0.51), multiple or days (+0.48)
4A00X4ZMEASUREMENT OF CENTRAL NERVOUS ELECTRICAL ACTIVITY, EXTERNAL APPROACH2.478610work rvu (+0.88), n j code lines (+0.85), n imaging lines (+0.58)
0B9D8ZXDRAINAGE OF RIGHT MIDDLE LUNG LOBE, VIA NATURAL OR ARTIFICIAL OPENING ENDOSCOPIC, DIAGNOSTIC2.2301452or (+0.51), n distinct rev codes (+0.42), relative claim charge (+0.31)
0B9C8ZXDRAINAGE OF RIGHT UPPER LUNG LOBE, VIA NATURAL OR ARTIFICIAL OPENING ENDOSCOPIC, DIAGNOSTIC2.030683or (+0.51), multiple or days (+0.41), n distinct rev codes (+0.40)

Key Driver Frequency

featurecountpct
or2744.300
n distinct rev codes2744.300
multiple or days2337.700
work rvu2134.400
n j code lines1829.500
organ system count1727.900
relative claim charge1727.900
icu1321.300
length of stay1016.400
n imaging lines69.800
transfusion23.300
dialysis11.600
n distinct hcps11.600

Key driver frequency