OP - RH.0.cardiac
CM Codes
Data Overview
3585 total codes in komodo_rii; 76 retained after n_claims > 500 filter.
| CMS severity | n codes |
|---|---|
| No CC/MCC | 49 |
| MCC | 14 |
| CC | 13 |
PCA Analysis
PC1 explains 34.6% of variance; PC1+PC2 together explain 48.2%.



Tier Clustering (k=3)

Tier Summary
| tier | n_codes | n_claims | organ system count | n distinct rev codes | relative claim charge | n distinct hcps | work rvu | n j code lines | n imaging lines | icu |
|---|---|---|---|---|---|---|---|---|---|---|
| 1 | 43.000 | 415017.000 | 1.206 | 1.030 | 1.008 | 0.338 | 0.402 | 0.003 | 0.000 | 0.000 |
| 2 | 22.000 | 135039.000 | 2.108 | 1.170 | 1.075 | 0.286 | 0.483 | 0.015 | 0.001 | 0.000 |
| 3 | 11.000 | 14889.000 | 3.045 | 1.344 | 1.245 | 0.177 | 0.450 | 0.024 | 0.003 | 0.000 |
CMS Severity × intensity Tier
| cms_severity | Tier 1 | Tier 2 | Tier 3 | All |
|---|---|---|---|---|
| CC | 10 | 2 | 1 | 13 |
| MCC | 14 | 0 | 0 | 14 |
| No CC/MCC | 19 | 20 | 10 | 49 |
| All | 43 | 22 | 11 | 76 |
Feature Analysis
Feature Correlation

Feature Audit
| pc1_loading | r_with_volume | r_with_severity | |
|---|---|---|---|
| avg_organ_system_count | 0.483 | -0.227 | -0.556 |
| avg_n_distinct_rev_codes | 0.445 | -0.182 | -0.501 |
| avg_relative_claim_charge | 0.418 | -0.140 | -0.239 |
| avg_n_j_code_lines | 0.385 | -0.066 | -0.480 |
| avg_n_imaging_lines | 0.359 | 0.032 | -0.318 |
| avg_work_rvu | 0.122 | 0.169 | -0.190 |
| rate_icu | 0.106 | 0.140 | -0.017 |
| avg_length_of_stay | 0.000 | nan | nan |
| rate_dialysis | 0.000 | nan | nan |
| rate_mechanical_ventilation | 0.000 | nan | nan |
| rate_multiple_or_days | 0.000 | nan | nan |
| rate_transfusion | -0.037 | 0.107 | 0.080 |
| rate_or | -0.043 | 0.339 | -0.226 |
| avg_n_distinct_hcps | -0.295 | -0.214 | 0.249 |
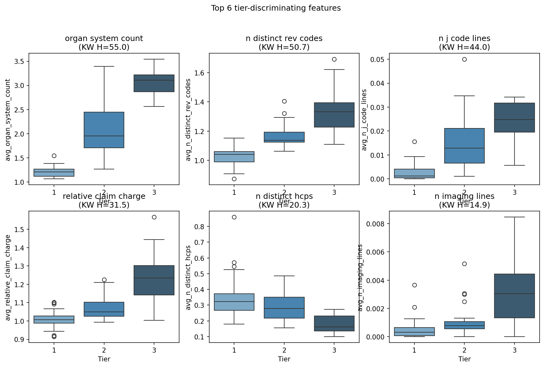
Top 6 Tier-Discriminating Features

Bottom 6 Tier-Discriminating Features

Score Validation



Misclassification Audit (N=10 samples)
Over-tiered: Tier 3, No CC/MCC (5 codes)
| code | code_description | cms_severity | intensity_score | tier | n_claims | key_drivers |
|---|---|---|---|---|---|---|
| N1832 | Chronic kidney disease, stage 3b | No CC/MCC | 5.221 | 3 | 789 | relative claim charge (+1.90), n distinct rev codes (+1.56), n imaging lines (+1.07) |
| K219 | Gastro-esophageal reflux disease without esophagitis | No CC/MCC | 4.723 | 3 | 1673 | organ system count (+1.17), n imaging lines (+0.92), n j code lines (+0.87) |
| D649 | Anemia, unspecified | No CC/MCC | 4.314 | 3 | 915 | n distinct rev codes (+1.78), relative claim charge (+1.44), organ system count (+0.66) |
| F17210 | Nicotine dependence, cigarettes, uncomplicated | No CC/MCC | 4.000 | 3 | 1394 | n imaging lines (+1.74), n j code lines (+0.81), organ system count (+0.53) |
| N189 | Chronic kidney disease, unspecified | No CC/MCC | 3.542 | 3 | 1205 | organ system count (+0.90), n distinct rev codes (+0.74), n imaging lines (+0.67) |
Under-tiered: Tier 1, MCC (5 codes)
| code | code_description | cms_severity | intensity_score | tier | n_claims | key_drivers |
|---|---|---|---|---|---|---|
| I2129 | ST elevation (STEMI) myocardial infarction involving other sites | MCC | -2.227 | 1 | 828 | n distinct rev codes (-0.64), organ system count (-0.42), n j code lines (-0.32) |
| I2102 | ST elevation (STEMI) myocardial infarction involving left anterior descending coronary artery | MCC | -2.021 | 1 | 5201 | n distinct rev codes (-0.46), organ system count (-0.41), relative claim charge (-0.34) |
| I2121 | ST elevation (STEMI) myocardial infarction involving left circumflex coronary artery | MCC | -1.927 | 1 | 1169 | n distinct rev codes (-0.54), relative claim charge (-0.43), organ system count (-0.41) |
| I469 | Cardiac arrest, cause unspecified | MCC | -1.917 | 1 | 903 | n distinct hcps (-0.54), n distinct rev codes (-0.39), organ system count (-0.38) |
| I2111 | ST elevation (STEMI) myocardial infarction involving right coronary artery | MCC | -1.749 | 1 | 4617 | n distinct rev codes (-0.45), organ system count (-0.40), relative claim charge (-0.33) |
Top Codes by Tier
Tier 1 (n=43 codes)
| code | Description | CMS severity | Score | N claims | Key drivers |
|---|---|---|---|---|---|
| I429 | Cardiomyopathy, unspecified | CC | -0.409 | 3008 | organ system count (-0.24), n distinct rev codes (-0.12), work rvu (-0.08) |
| I5032 | Chronic diastolic (congestive) heart failure | CC | -0.513 | 4681 | n imaging lines (-0.21), n j code lines (-0.15), organ system count (-0.12) |
| I5042 | Chronic combined systolic (congestive) and diastolic (congestive) heart failure | CC | -0.579 | 6993 | organ system count (-0.30), n j code lines (-0.28), n distinct hcps (-0.16) |
| I7121 | Aneurysm of the ascending aorta, without rupture | No CC/MCC | -0.588 | 905 | n imaging lines (+0.61), n j code lines (-0.32), n distinct rev codes (-0.23) |
| I249 | Acute ischemic heart disease, unspecified | CC | -0.636 | 1121 | n distinct rev codes (-0.44), organ system count (-0.37), icu (+0.36) |
| I255 | Ischemic cardiomyopathy | No CC/MCC | -0.722 | 6437 | organ system count (-0.24), n j code lines (-0.17), n imaging lines (-0.16) |
| I5043 | Acute on chronic combined systolic (congestive) and diastolic (congestive) heart failure | MCC | -0.728 | 1110 | n j code lines (-0.30), organ system count (-0.28), relative claim charge (-0.18) |
| I2089 | Other forms of angina pectoris | No CC/MCC | -0.763 | 9498 | organ system count (-0.39), n j code lines (-0.30), n distinct hcps (+0.30) |
| I509 | Heart failure, unspecified | No CC/MCC | -0.890 | 19382 | organ system count (-0.32), n j code lines (-0.24), n distinct hcps (+0.22) |
| I340 | Nonrheumatic mitral (valve) insufficiency | No CC/MCC | -0.903 | 4137 | organ system count (-0.32), n distinct rev codes (-0.21), n j code lines (-0.19) |
Tier 2 (n=22 codes)
| code | Description | CMS severity | Score | N claims | Key drivers |
|---|---|---|---|---|---|
| E7800 | Pure hypercholesterolemia, unspecified | No CC/MCC | 1.851 | 3027 | n distinct rev codes (+0.55), n imaging lines (+0.47), relative claim charge (+0.33) |
| J449 | Chronic obstructive pulmonary disease, unspecified | No CC/MCC | 1.752 | 2584 | n imaging lines (+0.96), organ system count (+0.58), n distinct hcps (+0.36) |
| G4733 | Obstructive sleep apnea (adult) (pediatric) | No CC/MCC | 1.689 | 2370 | organ system count (+1.07), n j code lines (+0.44), n distinct hcps (+0.21) |
| E1165 | Type 2 diabetes mellitus with hyperglycemia | No CC/MCC | 1.627 | 1457 | n distinct rev codes (+0.89), relative claim charge (+0.62), n j code lines (+0.24) |
| G8929 | Other chronic pain | No CC/MCC | 1.425 | 834 | organ system count (+0.92), n imaging lines (+0.46), relative claim charge (+0.37) |
| E6601 | Morbid (severe) obesity due to excess calories | No CC/MCC | 1.322 | 789 | n j code lines (+1.42), organ system count (+0.53), n imaging lines (-0.25) |
| E669 | Obesity, unspecified | No CC/MCC | 1.179 | 3538 | n j code lines (+0.58), organ system count (+0.49), n distinct hcps (+0.23) |
| E785 | Hyperlipidemia, unspecified | No CC/MCC | 0.865 | 24618 | organ system count (+0.38), n distinct hcps (+0.19), work rvu (+0.16) |
| E782 | Mixed hyperlipidemia | No CC/MCC | 0.864 | 5240 | n distinct rev codes (+0.63), organ system count (+0.33), n distinct hcps (-0.20) |
| I480 | Paroxysmal atrial fibrillation | No CC/MCC | 0.836 | 4695 | n j code lines (+0.55), n distinct rev codes (+0.35), icu (-0.04) |
Tier 3 (n=11 codes)
| code | Description | CMS severity | Score | N claims | Key drivers |
|---|---|---|---|---|---|
| N1832 | Chronic kidney disease, stage 3b | No CC/MCC | 5.221 | 789 | relative claim charge (+1.90), n distinct rev codes (+1.56), n imaging lines (+1.07) |
| K219 | Gastro-esophageal reflux disease without esophagitis | No CC/MCC | 4.723 | 1673 | organ system count (+1.17), n imaging lines (+0.92), n j code lines (+0.87) |
| D649 | Anemia, unspecified | No CC/MCC | 4.314 | 915 | n distinct rev codes (+1.78), relative claim charge (+1.44), organ system count (+0.66) |
| F17210 | Nicotine dependence, cigarettes, uncomplicated | No CC/MCC | 4.000 | 1394 | n imaging lines (+1.74), n j code lines (+0.81), organ system count (+0.53) |
| N189 | Chronic kidney disease, unspecified | No CC/MCC | 3.542 | 1205 | organ system count (+0.90), n distinct rev codes (+0.74), n imaging lines (+0.67) |
| I129 | Hypertensive chronic kidney disease with stage 1 through stage 4 chronic kidney disease, or unspecified chronic kidney disease | No CC/MCC | 3.444 | 1554 | organ system count (+0.95), n distinct rev codes (+0.83), n j code lines (+0.52) |
| E1122 | Type 2 diabetes mellitus with diabetic chronic kidney disease | No CC/MCC | 3.344 | 2159 | organ system count (+0.89), n j code lines (+0.82), n distinct rev codes (+0.67) |
| N1830 | Chronic kidney disease, stage 3 unspecified | No CC/MCC | 3.195 | 1256 | organ system count (+0.97), n distinct rev codes (+0.89), relative claim charge (+0.78) |
| E039 | Hypothyroidism, unspecified | No CC/MCC | 2.873 | 1712 | relative claim charge (+1.02), organ system count (+0.65), n j code lines (+0.54) |
| I130 | Hypertensive heart and chronic kidney disease with heart failure and stage 1 through stage 4 chronic kidney disease, or unspecified chronic kidney disease | CC | 2.766 | 1368 | organ system count (+0.80), relative claim charge (+0.75), n j code lines (+0.59) |
Key Driver Frequency
| feature | count | pct |
|---|---|---|
| organ system count | 66 | 86.800 |
| n j code lines | 41 | 53.900 |
| n distinct rev codes | 37 | 48.700 |
| relative claim charge | 31 | 40.800 |
| n distinct hcps | 23 | 30.300 |
| n imaging lines | 17 | 22.400 |
| work rvu | 6 | 7.900 |
| icu | 5 | 6.600 |
| transfusion | 1 | 1.300 |
| or | 1 | 1.300 |
