Skip to main content

IP - PU.1.infection

CM Codes

Data Overview

14610 total codes in komodo_rii; 478 retained after n_claims > 500 filter.

CMS severityn codes
No CC/MCC289
CC133
MCC56

PCA Analysis

PC1 explains 32.8% of variance; PC1+PC2 together explain 46.7%.

PCA scree plot

Feature loadings

intensity distribution

Tier Clustering (k=3)

KMeans elbow

Tier Summary

tiern_codesn_claimslength of stayn distinct rev codesrelative claim chargework rvun j code linesorn imaging linestransfusion
1279.0002845309.0006.27315.8661.0130.4350.3820.0850.8660.042
2164.000944416.0007.55317.1851.2270.6130.5110.1480.9800.088
335.000113273.0009.49218.2211.5820.8840.7470.2751.0260.141

CMS Severity × intensity Tier

cms_severityTier 1Tier 2Tier 3All
CC585322133
MCC840856
No CC/MCC213715289
All27916435478

Feature Analysis

Feature Correlation

Feature correlation heatmap

Feature Audit

pc1_loadingr_with_volumer_with_severity
avg_relative_claim_charge0.426-0.0390.475
avg_length_of_stay0.390-0.0930.364
avg_n_distinct_rev_codes0.3650.0290.326
rate_or0.332-0.1300.396
rate_multiple_or_days0.314-0.0060.252
avg_n_j_code_lines0.283-0.0890.303
rate_transfusion0.2780.0540.419
rate_icu0.2410.0650.396
avg_work_rvu0.240-0.0980.234
avg_n_imaging_lines0.201-0.0960.102
rate_mechanical_ventilation0.0610.3820.114
rate_dialysis0.0550.1980.217
avg_n_distinct_hcps0.043-0.104-0.408
avg_organ_system_count0.041-0.060-0.502

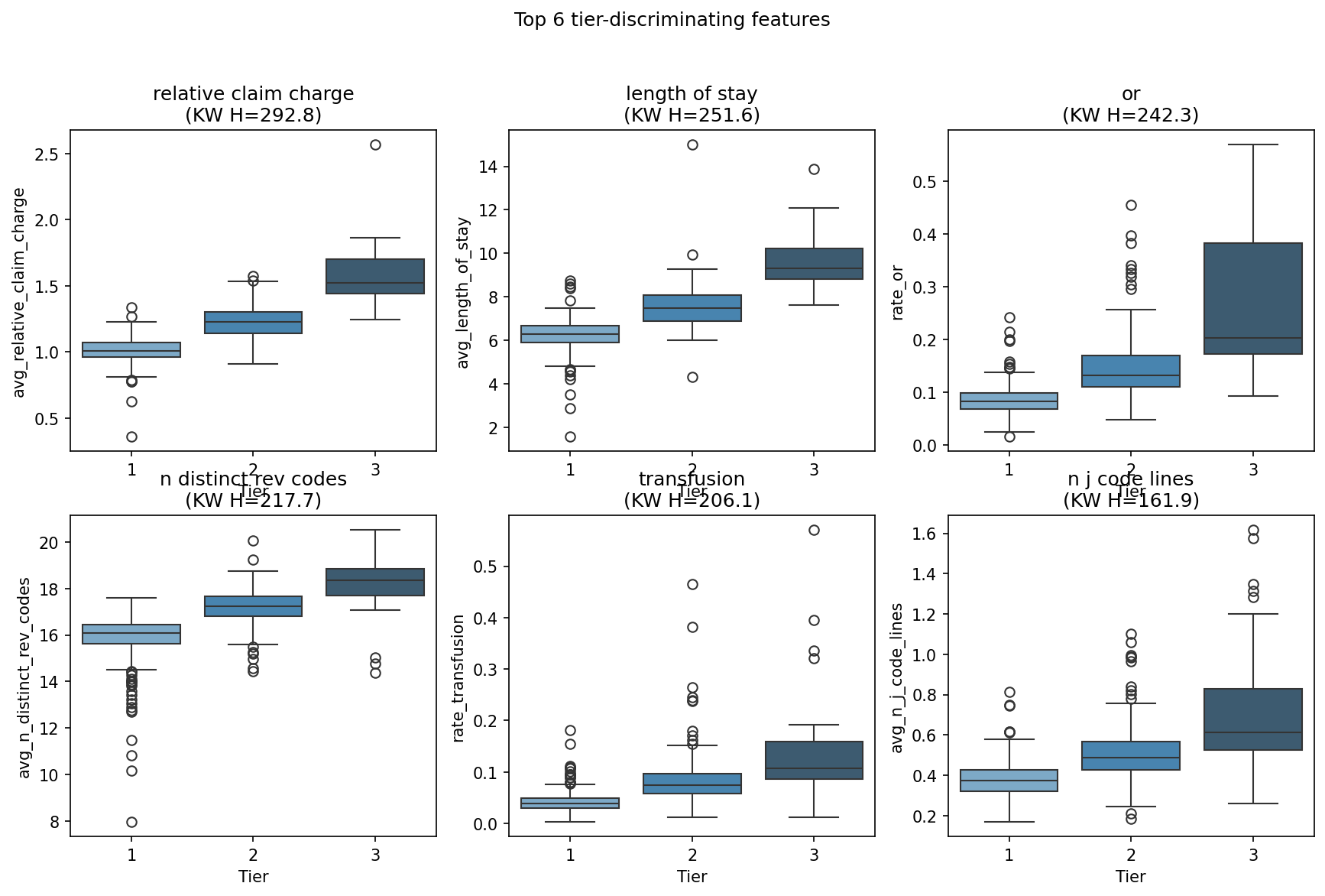
Top 6 Tier-Discriminating Features

Top 6 features

Bottom 6 Tier-Discriminating Features

Bottom 6 features

Score Validation

intensity by CMS severity

Volume vs intensity

intensity scatter

Misclassification Audit (N=10 samples)

Over-tiered: Tier 3, No CC/MCC (5 codes)

codecode_descriptioncms_severityintensity_scoretiern_claimskey_drivers
J9809Other diseases of bronchus, not elsewhere classifiedNo CC/MCC5.9083837work rvu (+1.53), or (+0.91), multiple or days (+0.89)
B9561Methicillin susceptible Staphylococcus aureus infection as the cause of diseases classified elsewhereNo CC/MCC3.62731040or (+1.17), relative claim charge (+0.69), length of stay (+0.62)
D500Iron deficiency anemia secondary to blood loss (chronic)No CC/MCC3.51431274transfusion (+1.36), n distinct rev codes (+0.46), multiple or days (+0.41)
I4719Other supraventricular tachycardiaNo CC/MCC3.45931448work rvu (+2.18), relative claim charge (+0.57), icu (+0.31)
B9562Methicillin resistant Staphylococcus aureus infection as the cause of diseases classified elsewhereNo CC/MCC3.27331357length of stay (+0.85), relative claim charge (+0.59), or (+0.58)

Under-tiered: Tier 1, MCC (5 codes)

codecode_descriptioncms_severityintensity_scoretiern_claimskey_drivers
U071COVID-19MCC-3.1181256963length of stay (-0.54), n distinct rev codes (-0.52), relative claim charge (-0.50)
A481Legionnaires' diseaseMCC-1.28511485relative claim charge (-0.42), length of stay (-0.41), multiple or days (-0.30)
J159Unspecified bacterial pneumoniaMCC-0.750120197multiple or days (-0.25), or (-0.15), work rvu (-0.10)
J9601Acute respiratory failure with hypoxiaMCC-0.6731148320length of stay (-0.22), icu (+0.16), or (-0.13)
G800Spastic quadriplegic cerebral palsyMCC-0.48211457n distinct rev codes (-0.63), relative claim charge (+0.44), n imaging lines (-0.40)

Top Codes by Tier

Tier 1 (n=279 codes)

codeDescriptionCMS severityScoreN claimsKey drivers
E861HypovolemiaNo CC/MCC-0.0936871multiple or days (+0.23), relative claim charge (-0.20), or (-0.14)
N200Calculus of kidneyNo CC/MCC-0.0991465n imaging lines (+0.26), icu (-0.17), multiple or days (+0.12)
T380X5AAdverse effect of glucocorticoids and synthetic analogues, initial encounterNo CC/MCC-0.1147512or (-0.21), n j code lines (+0.20), icu (+0.19)
E8721Acute metabolic acidosisNo CC/MCC-0.1192057multiple or days (-0.30), n distinct rev codes (+0.23), n j code lines (-0.22)
C3411Malignant neoplasm of upper lobe, right bronchus or lungCC-0.1321326n j code lines (-0.33), multiple or days (-0.30), transfusion (+0.18)
K5730Diverticulosis of large intestine without perforation or abscess without bleedingNo CC/MCC-0.1381661n imaging lines (+0.28), n j code lines (-0.22), length of stay (-0.21)
F410Panic disorder [episodic paroxysmal anxiety]No CC/MCC-0.1441217multiple or days (+0.19), n distinct rev codes (-0.19), transfusion (-0.14)
J158Pneumonia due to other specified bacteriaMCC-0.1622893work rvu (-0.15), or (+0.14), icu (+0.10)
E042Nontoxic multinodular goiterNo CC/MCC-0.162917n imaging lines (+0.37), length of stay (-0.21), relative claim charge (+0.21)
I080Rheumatic disorders of both mitral and aortic valvesNo CC/MCC-0.1671808icu (+0.22), multiple or days (-0.21), n distinct rev codes (+0.20)

Tier 2 (n=164 codes)

codeDescriptionCMS severityScoreN claimsKey drivers
J9622Acute and chronic respiratory failure with hypercapniaMCC3.03016419icu (+1.01), relative claim charge (+0.95), n distinct rev codes (+0.46)
G931Anoxic brain damage, not elsewhere classifiedCC3.0111237relative claim charge (+0.81), multiple or days (+0.70), length of stay (+0.56)
L89153Pressure ulcer of sacral region, stage 3MCC2.9222346length of stay (+0.91), relative claim charge (+0.56), n distinct rev codes (+0.46)
J9690Respiratory failure, unspecified, unspecified whether with hypoxia or hypercapniaMCC2.9121266work rvu (+0.73), icu (+0.60), length of stay (+0.46)
E8770Fluid overload, unspecifiedNo CC/MCC2.8493276relative claim charge (+0.52), icu (+0.38), work rvu (+0.38)
I2693Single subsegmental thrombotic pulmonary embolism without acute cor pulmonaleMCC2.8391131relative claim charge (+0.75), n distinct rev codes (+0.61), length of stay (+0.46)
J15211Pneumonia due to Methicillin susceptible Staphylococcus aureusMCC2.8153171relative claim charge (+0.87), multiple or days (+0.52), or (+0.51)
D61810Antineoplastic chemotherapy induced pancytopeniaMCC2.7212031transfusion (+2.00), relative claim charge (+0.29), n distinct rev codes (+0.22)
J13Pneumonia due to Streptococcus pneumoniaeMCC2.7181038multiple or days (+0.86), n j code lines (+0.56), relative claim charge (+0.51)
N136PyonephrosisCC2.701923multiple or days (+0.72), length of stay (+0.47), n distinct rev codes (+0.42)

Tier 3 (n=35 codes)

codeDescriptionCMS severityScoreN claimsKey drivers
J80Acute respiratory distress syndromeMCC9.8651685relative claim charge (+3.05), length of stay (+1.56), icu (+1.39)
D62Acute posthemorrhagic anemiaCC8.3255515transfusion (+2.53), relative claim charge (+1.47), n distinct rev codes (+1.14)
B59PneumocystosisMCC8.3251260multiple or days (+1.81), n j code lines (+1.38), relative claim charge (+1.35)
J939Pneumothorax, unspecifiedCC7.587926relative claim charge (+1.29), or (+1.25), n j code lines (+1.19)
J948Other specified pleural conditionsCC7.4371414or (+1.80), relative claim charge (+1.43), length of stay (+1.11)
J869Pyothorax without fistulaMCC6.6636720or (+1.96), multiple or days (+1.41), relative claim charge (+1.01)
J860Pyothorax with fistulaMCC6.6241165or (+1.67), relative claim charge (+1.22), n j code lines (+1.11)
A419Sepsis, unspecified organismMCC6.5708526relative claim charge (+1.22), work rvu (+1.15), length of stay (+1.01)
N170Acute kidney failure with tubular necrosisMCC6.3005653relative claim charge (+1.44), length of stay (+0.97), n distinct rev codes (+0.91)
E874Mixed disorder of acid-base balanceCC6.2892586relative claim charge (+1.56), multiple or days (+1.18), icu (+0.92)

Key Driver Frequency

featurecountpct
relative claim charge29060.700
length of stay22947.900
n distinct rev codes19340.400
multiple or days15532.400
or14831.000
n j code lines12526.200
icu10221.300
work rvu6613.800
transfusion5611.700
n imaging lines5511.500
mechanical ventilation71.500
dialysis61.300
n distinct hcps20.400

Key driver frequency

PCS Codes

Data Overview

2815 total codes in komodo_rii; 59 retained after n_claims > 500 filter.

PCA Analysis

PC1 explains 36.5% of variance; PC1+PC2 together explain 51.6%.

PCA scree plot

Feature loadings

intensity distribution

Tier Clustering (k=4)

KMeans elbow

Tier Summary

tiern_codesn_claimsn distinct rev codeslength of stayrelative claim chargeorgan system countorn imaging linesicudialysis
114.000182520.00014.5655.9331.0674.7410.0680.8450.2680.028
215.00065559.00018.0427.5961.5414.9110.1831.0500.4530.089
328.00065296.00020.47110.4001.9285.1830.4881.1370.4200.051
42.0002278.00022.55912.4532.7375.8710.6161.2030.6140.330

Feature Analysis

Feature Correlation

Feature correlation heatmap

Feature Audit

pc1_loadingr_with_volume
avg_n_distinct_rev_codes0.399-0.121
avg_length_of_stay0.392-0.054
avg_relative_claim_charge0.387-0.117
rate_or0.343-0.079
avg_organ_system_count0.307-0.096
rate_multiple_or_days0.2750.041
rate_transfusion0.2340.024
avg_n_distinct_hcps0.201-0.151
rate_icu0.200-0.052
avg_n_imaging_lines0.190-0.337
avg_work_rvu0.1830.039
rate_mechanical_ventilation0.1490.270
rate_dialysis0.1110.133
avg_n_j_code_lines0.103-0.023

Top 6 Tier-Discriminating Features

Top 6 features

Bottom 6 Tier-Discriminating Features

Bottom 6 features

Score Validation

Volume vs intensity

intensity scatter

Top Codes by Tier

Tier 1 (n=14 codes)

codeDescriptionScoreN claimsKey drivers
XW043E5INTRODUCTION OF REMDESIVIR ANTI-INFECTIVE INTO CENTRAL VEIN, PERCUTANEOUS APPROACH, NEW TECHNOLOGY GROUP 5-2.1791604n distinct rev codes (-0.44), relative claim charge (-0.41), length of stay (-0.40)
XW0DXF5INTRODUCTION OF OTHER NEW TECHNOLOGY THERAPEUTIC SUBSTANCE INTO MOUTH AND PHARYNX, EXTERNAL APPROACH, NEW TECHNOLOGY GROUP 5-2.2371532work rvu (+0.89), relative claim charge (-0.78), length of stay (-0.70)
B246ZZZULTRASONOGRAPHY OF RIGHT AND LEFT HEART-2.3521129length of stay (-0.38), relative claim charge (-0.37), n distinct hcps (-0.33)
B32S1ZZCOMPUTERIZED TOMOGRAPHY (CT SCAN) OF RIGHT PULMONARY ARTERY USING LOW OSMOLAR CONTRAST-2.589849n distinct rev codes (-0.62), relative claim charge (-0.41), length of stay (-0.40)
B32T1ZZCOMPUTERIZED TOMOGRAPHY (CT SCAN) OF LEFT PULMONARY ARTERY USING LOW OSMOLAR CONTRAST-2.639849n distinct rev codes (-0.60), length of stay (-0.39), organ system count (-0.38)
3E02340INTRODUCTION OF INFLUENZA VACCINE INTO MUSCLE, PERCUTANEOUS APPROACH-2.974937relative claim charge (-0.54), n distinct rev codes (-0.39), length of stay (-0.39)
3E03329INTRODUCTION OF OTHER ANTI-INFECTIVE INTO PERIPHERAL VEIN, PERCUTANEOUS APPROACH-2.9962792relative claim charge (-0.49), n distinct rev codes (-0.49), length of stay (-0.43)
3E0333ZINTRODUCTION OF ANTI-INFLAMMATORY INTO PERIPHERAL VEIN, PERCUTANEOUS APPROACH-3.23819013length of stay (-0.57), n distinct rev codes (-0.55), relative claim charge (-0.53)
3E0F7SFINTRODUCTION OF OTHER GAS INTO RESPIRATORY TRACT, VIA NATURAL OR ARTIFICIAL OPENING-3.2444292relative claim charge (-0.49), length of stay (-0.46), n distinct rev codes (-0.39)
3E033GCINTRODUCTION OF OTHER THERAPEUTIC SUBSTANCE INTO PERIPHERAL VEIN, PERCUTANEOUS APPROACH-3.448857n distinct rev codes (-0.56), length of stay (-0.54), relative claim charge (-0.53)

Tier 2 (n=15 codes)

codeDescriptionScoreN claimsKey drivers
05HY33ZINSERTION OF INFUSION DEVICE INTO UPPER VEIN, PERCUTANEOUS APPROACH0.1582078n distinct hcps (-0.29), or (+0.26), length of stay (+0.15)
5A1D70ZPERFORMANCE OF URINARY FILTRATION, INTERMITTENT, LESS THAN 6 HOURS PER DAY-0.30611742dialysis (+0.69), organ system count (+0.39), relative claim charge (-0.30)
0CJS8ZZINSPECTION OF LARYNX, VIA NATURAL OR ARTIFICIAL OPENING ENDOSCOPIC-0.334880multiple or days (-0.16), work rvu (+0.13), n imaging lines (+0.10)
4A03X5DMEASUREMENT OF ARTERIAL FLOW, INTRACRANIAL, EXTERNAL APPROACH-0.775876n imaging lines (+0.86), length of stay (-0.42), or (-0.36)
B2111ZZFLUOROSCOPY OF MULTIPLE CORONARY ARTERIES USING LOW OSMOLAR CONTRAST-0.8551462or (-0.28), length of stay (-0.26), n distinct rev codes (+0.24)
5A0935AASSISTANCE WITH RESPIRATORY VENTILATION, LESS THAN 24 CONSECUTIVE HOURS, HIGH NASAL FLOW/VELOCITY-0.9337486icu (+0.32), or (-0.28), organ system count (-0.22)
5A0945AASSISTANCE WITH RESPIRATORY VENTILATION, 24-96 CONSECUTIVE HOURS, HIGH NASAL FLOW/VELOCITY-1.0214857organ system count (-0.36), icu (+0.36), or (-0.26)
5A09457ASSISTANCE WITH RESPIRATORY VENTILATION, 24-96 CONSECUTIVE HOURS, CONTINUOUS POSITIVE AIRWAY PRESSURE-1.0744286icu (+0.36), or (-0.27), multiple or days (-0.24)
5A09357ASSISTANCE WITH RESPIRATORY VENTILATION, LESS THAN 24 CONSECUTIVE HOURS, CONTINUOUS POSITIVE AIRWAY PRESSURE-1.13922302or (-0.28), length of stay (-0.24), icu (+0.22)
B24BZZZULTRASONOGRAPHY OF HEART WITH AORTA-1.2162685n distinct hcps (-0.30), relative claim charge (-0.29), or (-0.28)

Tier 3 (n=28 codes)

codeDescriptionScoreN claimsKey drivers
3E033XZINTRODUCTION OF VASOPRESSOR INTO PERIPHERAL VEIN, PERCUTANEOUS APPROACH2.945859icu (+0.53), organ system count (+0.51), relative claim charge (+0.48)
0DH63UZINSERTION OF FEEDING DEVICE INTO STOMACH, PERCUTANEOUS APPROACH2.5473595length of stay (+0.82), n distinct rev codes (+0.56), relative claim charge (+0.38)
30233N1TRANSFUSION OF NONAUTOLOGOUS RED BLOOD CELLS INTO PERIPHERAL VEIN, PERCUTANEOUS APPROACH2.4918044transfusion (+1.52), organ system count (+0.44), n distinct rev codes (+0.23)
0B9D8ZXDRAINAGE OF RIGHT MIDDLE LUNG LOBE, VIA NATURAL OR ARTIFICIAL OPENING ENDOSCOPIC, DIAGNOSTIC2.4371432multiple or days (+0.89), or (+0.51), n distinct rev codes (+0.37)
02HV33ZINSERTION OF INFUSION DEVICE INTO SUPERIOR VENA CAVA, PERCUTANEOUS APPROACH2.3618455or (+0.49), length of stay (+0.45), relative claim charge (+0.37)
0DB78ZXEXCISION OF STOMACH, PYLORUS, VIA NATURAL OR ARTIFICIAL OPENING ENDOSCOPIC, DIAGNOSTIC2.2181057n distinct rev codes (+0.64), organ system count (+0.54), multiple or days (+0.25)
0W9930ZDRAINAGE OF RIGHT PLEURAL CAVITY WITH DRAINAGE DEVICE, PERCUTANEOUS APPROACH2.1853416or (+0.48), multiple or days (+0.47), length of stay (+0.36)
3E0L3GCINTRODUCTION OF OTHER THERAPEUTIC SUBSTANCE INTO PLEURAL CAVITY, PERCUTANEOUS APPROACH2.1711663or (+0.48), length of stay (+0.41), n distinct hcps (+0.35)
0DJ08ZZINSPECTION OF UPPER INTESTINAL TRACT, VIA NATURAL OR ARTIFICIAL OPENING ENDOSCOPIC2.0032328n distinct rev codes (+0.46), organ system count (+0.46), transfusion (+0.31)
0DH67UZINSERTION OF FEEDING DEVICE INTO STOMACH, VIA NATURAL OR ARTIFICIAL OPENING1.908905length of stay (+0.64), relative claim charge (+0.44), multiple or days (-0.30)

Tier 4 (n=2 codes)

codeDescriptionScoreN claimsKey drivers
0JH63XZINSERTION OF TUNNELED VASCULAR ACCESS DEVICE INTO CHEST SUBCUTANEOUS TISSUE AND FASCIA, PERCUTANEOUS APPROACH5.5911063length of stay (+1.02), relative claim charge (+0.88), n distinct rev codes (+0.73)
0BH17EZINSERTION OF ENDOTRACHEAL AIRWAY INTO TRACHEA, VIA NATURAL OR ARTIFICIAL OPENING5.2321215mechanical ventilation (+1.07), relative claim charge (+0.97), organ system count (+0.91)

Key Driver Frequency

featurecountpct
length of stay3355.900
n distinct rev codes3050.800
or2847.500
relative claim charge2745.800
multiple or days1525.400
organ system count1423.700
n distinct hcps915.300
icu813.600
work rvu46.800
n imaging lines46.800
transfusion35.100
mechanical ventilation11.700
dialysis11.700

Key driver frequency