Skip to main content

OP - RA.0.PET

CM Codes

Data Overview

11307 total codes in komodo_rii; 320 retained after n_claims > 500 filter.

CMS severityn codes
No CC/MCC197
CC119
MCC4

PCA Analysis

PC1 explains 34.5% of variance; PC1+PC2 together explain 48.9%.

PCA scree plot

Feature loadings

intensity distribution

Tier Clustering (k=3)

KMeans elbow

Tier Summary

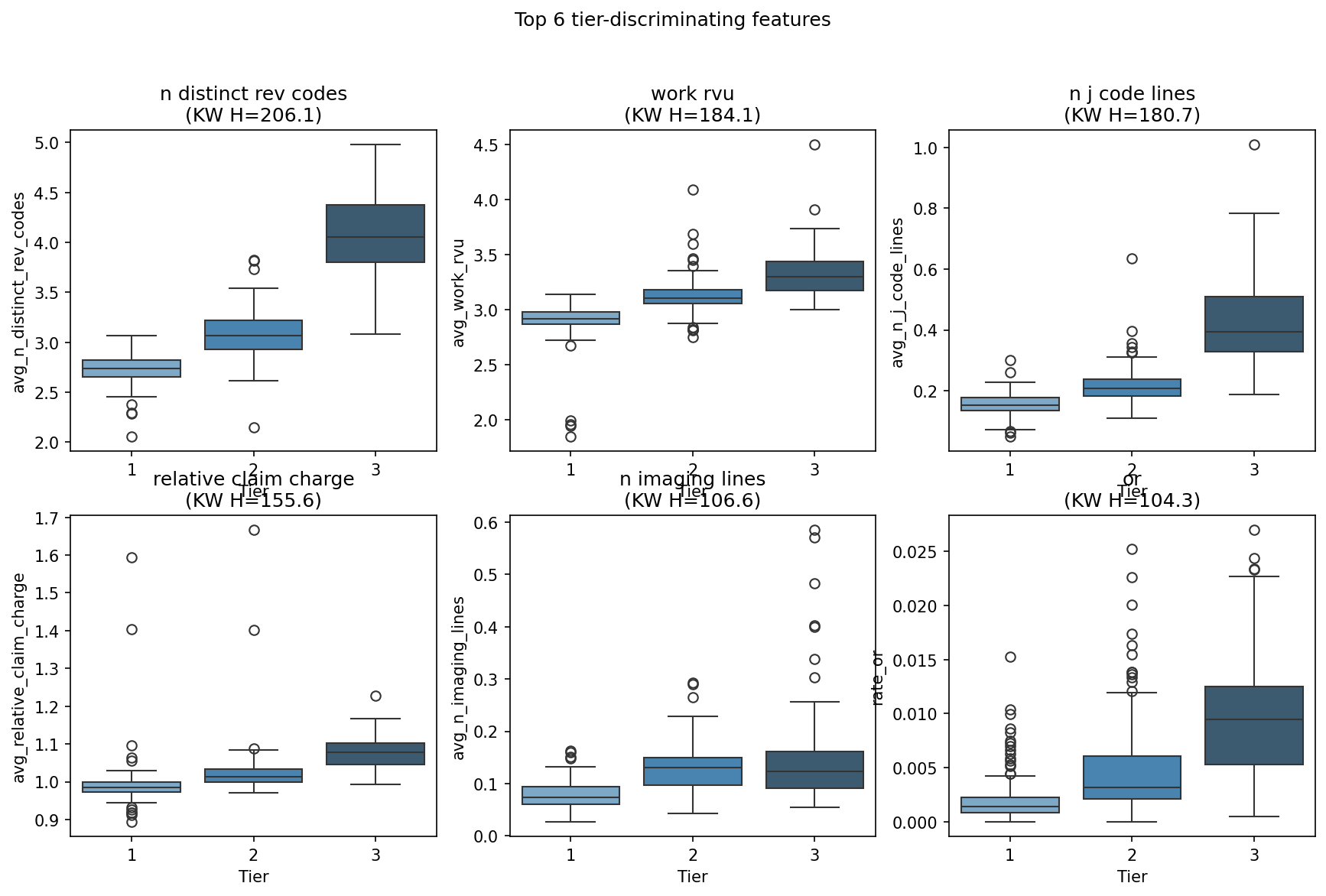
tiern_codesn_claimsn distinct rev codesorgan system countwork rvun j code linesn imaging linesrelative claim chargen distinct hcpsor
1175.0001058621.0002.7421.9142.9050.1540.0770.9900.7130.002
2101.000577145.0003.0832.0343.1300.2190.1301.0270.7430.005
344.000126628.0004.0723.1463.3500.4410.1701.0790.7600.010

CMS Severity × intensity Tier

cms_severityTier 1Tier 2Tier 3All
CC78356119
MCC2204
No CC/MCC956438197
All17510144320

Feature Analysis

Feature Correlation

Feature correlation heatmap

Feature Audit

pc1_loadingr_with_volumer_with_severity
avg_n_distinct_rev_codes0.468-0.1500.025
avg_n_j_code_lines0.412-0.1070.009
avg_work_rvu0.400-0.042-0.038
rate_or0.322-0.077-0.197
avg_n_imaging_lines0.2960.0570.018
rate_transfusion0.288-0.0190.202
avg_organ_system_count0.244-0.113-0.372
avg_relative_claim_charge0.244-0.103-0.153
avg_n_distinct_hcps0.191-0.088-0.051
rate_dialysis0.1300.0360.068
rate_icu0.0650.0770.034
avg_length_of_stay-0.000nannan
rate_mechanical_ventilation-0.000nannan
rate_multiple_or_days0.000nannan

Top 6 Tier-Discriminating Features

Top 6 features

Bottom 6 Tier-Discriminating Features

Bottom 6 features

Score Validation

intensity by CMS severity

Volume vs intensity

intensity scatter

Misclassification Audit (N=10 samples)

Over-tiered: Tier 3, No CC/MCC (5 codes)

codecode_descriptioncms_severityintensity_scoretiern_claimskey_drivers
E8342HypomagnesemiaNo CC/MCC7.06031231n distinct rev codes (+1.65), n j code lines (+1.45), transfusion (+1.15)
E876HypokalemiaNo CC/MCC7.00831224n distinct rev codes (+1.58), n j code lines (+1.50), or (+1.21)
D6481Anemia due to antineoplastic chemotherapyNo CC/MCC5.65631656transfusion (+2.88), n distinct rev codes (+1.01), n j code lines (+1.00)
D630Anemia in neoplastic diseaseNo CC/MCC5.35531606transfusion (+1.63), dialysis (+1.07), n distinct rev codes (+0.86)
G629Polyneuropathy, unspecifiedNo CC/MCC5.35232449n distinct rev codes (+1.57), or (+1.49), work rvu (+0.51)

Under-tiered: Tier 1, MCC (2 codes)

codecode_descriptioncms_severityintensity_scoretiern_claimskey_drivers
J9859Other diseases of mediastinum, not elsewhere classifiedMCC-1.41113903n distinct rev codes (-0.35), or (-0.21), work rvu (-0.20)
J181Lobar pneumonia, unspecified organismMCC-1.27711956n distinct hcps (+0.42), work rvu (-0.40), relative claim charge (-0.32)

Top Codes by Tier

Tier 1 (n=175 codes)

codeDescriptionCMS severityScoreN claimsKey drivers
C7A8Other malignant neuroendocrine tumorsCC-0.4105087relative claim charge (+1.32), n distinct rev codes (-0.61), n distinct hcps (-0.45)
C169Malignant neoplasm of stomach, unspecifiedCC-0.4263922n imaging lines (+0.23), organ system count (-0.20), or (-0.16)
C7951Secondary malignant neoplasm of boneCC-0.43572710or (-0.18), organ system count (-0.16), n distinct rev codes (-0.12)
J9811AtelectasisCC-0.44210929n distinct rev codes (-0.36), organ system count (+0.31), n j code lines (-0.27)
C7972Secondary malignant neoplasm of left adrenal glandCC-0.4722819or (-0.17), organ system count (-0.13), n j code lines (-0.10)
C7A1Malignant poorly differentiated neuroendocrine tumorsCC-0.4761613relative claim charge (+0.28), n distinct hcps (-0.27), n distinct rev codes (-0.19)
K769Liver disease, unspecifiedNo CC/MCC-0.48811661n distinct rev codes (-0.22), or (-0.14), n j code lines (-0.13)
I2584Coronary atherosclerosis due to calcified coronary lesionNo CC/MCC-0.5191653work rvu (-0.50), n j code lines (+0.30), organ system count (+0.29)
C786Secondary malignant neoplasm of retroperitoneum and peritoneumCC-0.5207745organ system count (-0.15), work rvu (-0.10), n distinct hcps (+0.09)
C19Malignant neoplasm of rectosigmoid junctionCC-0.5243280n imaging lines (+0.24), or (-0.21), n distinct rev codes (-0.20)

Tier 2 (n=101 codes)

codeDescriptionCMS severityScoreN claimsKey drivers
D649Anemia, unspecifiedNo CC/MCC1.9937370transfusion (+0.81), n distinct rev codes (+0.46), work rvu (+0.19)
E890Postprocedural hypothyroidismNo CC/MCC1.9522940n distinct rev codes (+0.65), n imaging lines (+0.42), or (+0.30)
E7800Pure hypercholesterolemia, unspecifiedNo CC/MCC1.8662175n distinct rev codes (+0.73), n j code lines (+0.62), organ system count (+0.37)
C7931Secondary malignant neoplasm of brainCC1.79917472n imaging lines (+0.68), work rvu (+0.68), relative claim charge (+0.23)
C300Malignant neoplasm of nasal cavityNo CC/MCC1.7061642work rvu (+0.70), n imaging lines (+0.53), n j code lines (+0.38)
E782Mixed hyperlipidemiaNo CC/MCC1.6762142n j code lines (+1.44), n distinct rev codes (+0.73), work rvu (-0.34)
L988Other specified disorders of the skin and subcutaneous tissueNo CC/MCC1.6461271n distinct hcps (+0.45), work rvu (+0.44), n distinct rev codes (+0.30)
C069Malignant neoplasm of mouth, unspecifiedNo CC/MCC1.5432336or (+0.87), n imaging lines (+0.42), work rvu (+0.32)
L989Disorder of the skin and subcutaneous tissue, unspecifiedNo CC/MCC1.5011657or (+0.74), n distinct rev codes (+0.27), work rvu (+0.25)
C9001Multiple myeloma in remissionCC1.3693828work rvu (+0.91), n imaging lines (+0.44), relative claim charge (+0.24)

Tier 3 (n=44 codes)

codeDescriptionCMS severityScoreN claimsKey drivers
D849Immunodeficiency, unspecifiedCC10.2661741work rvu (+2.37), n imaging lines (+2.00), n distinct rev codes (+1.81)
E8342HypomagnesemiaNo CC/MCC7.0601231n distinct rev codes (+1.65), n j code lines (+1.45), transfusion (+1.15)
E876HypokalemiaNo CC/MCC7.0081224n distinct rev codes (+1.58), n j code lines (+1.50), or (+1.21)
C419Malignant neoplasm of bone and articular cartilage, unspecifiedCC6.0923123n imaging lines (+2.06), work rvu (+1.41), n j code lines (+1.06)
D6481Anemia due to antineoplastic chemotherapyNo CC/MCC5.6561656transfusion (+2.88), n distinct rev codes (+1.01), n j code lines (+1.00)
D801Nonfamilial hypogammaglobulinemiaCC5.6251641n distinct rev codes (+1.62), n j code lines (+0.96), or (+0.83)
D630Anemia in neoplastic diseaseNo CC/MCC5.3551606transfusion (+1.63), dialysis (+1.07), n distinct rev codes (+0.86)
G629Polyneuropathy, unspecifiedNo CC/MCC5.3522449n distinct rev codes (+1.57), or (+1.49), work rvu (+0.51)
F32ADepression, unspecifiedNo CC/MCC5.2851756or (+1.26), n distinct rev codes (+1.24), work rvu (+0.81)
K219Gastro-esophageal reflux disease without esophagitisNo CC/MCC5.0294428n distinct rev codes (+1.46), or (+1.32), organ system count (+0.62)

Key Driver Frequency

featurecountpct
n distinct rev codes21567.200
organ system count15949.700
n j code lines14745.900
work rvu13843.100
or11235.000
n imaging lines8225.600
n distinct hcps6420.000
relative claim charge216.600
transfusion165.000
dialysis41.200
icu20.600

Key driver frequency