Skip to main content

IP - GI.1.hemorrhage

CM Codes

Data Overview

12179 total codes in komodo_rii; 460 retained after n_claims > 500 filter.

CMS severityn codes
No CC/MCC285
CC118
MCC57

PCA Analysis

PC1 explains 42.2% of variance; PC1+PC2 together explain 54.7%.

PCA scree plot

Feature loadings

intensity distribution

Tier Clustering (k=3)

KMeans elbow

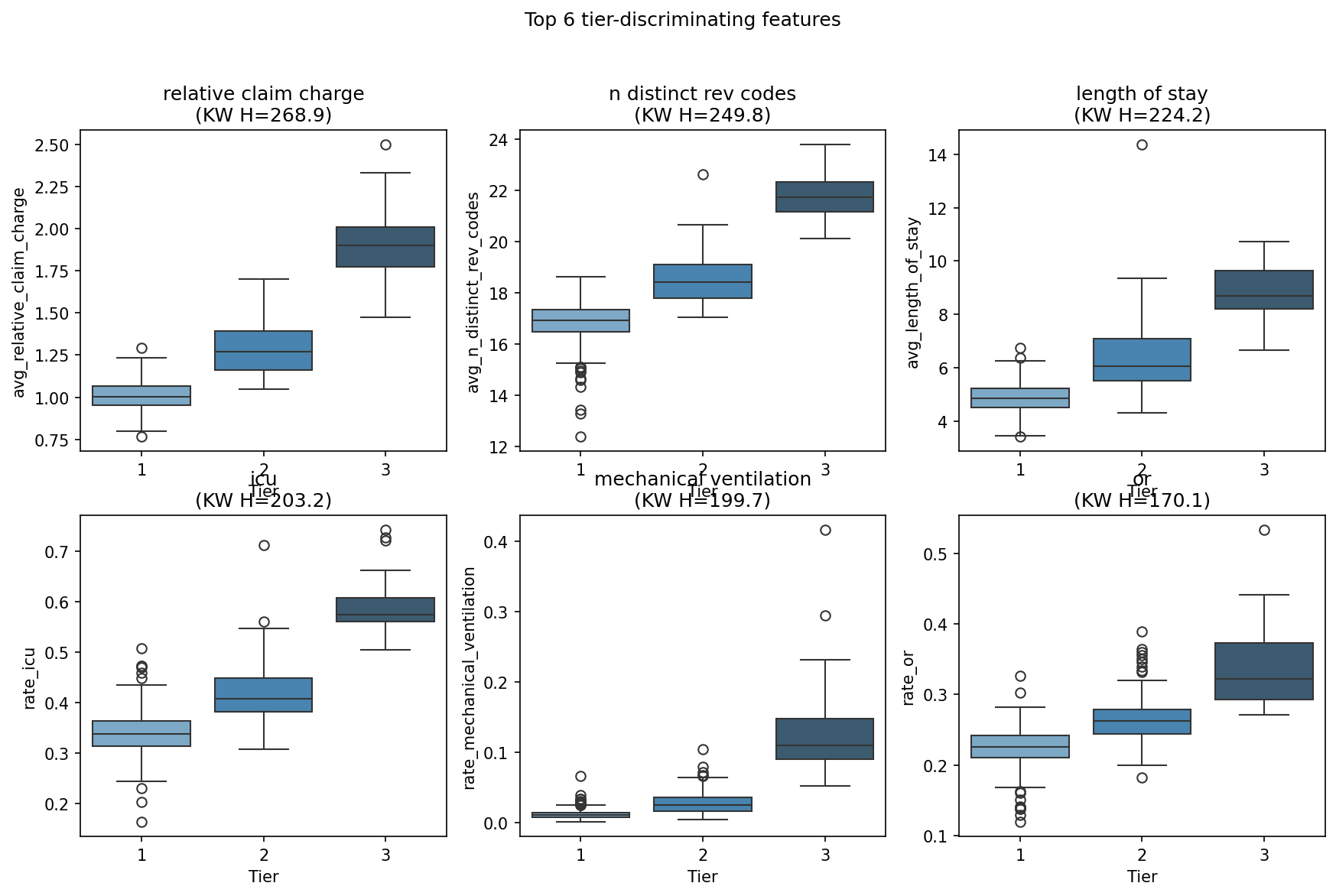
Tier Summary

tiern_codesn_claimsn distinct rev codeslength of stayrelative claim chargen imaging linesorgan system counticuwork rvun j code lines
1314.0002610635.00016.8464.8691.0110.7565.9290.3390.3990.327
2127.000680129.00018.5456.3771.2940.8245.9440.4200.4740.419
319.00064660.00021.6878.8661.9211.1576.2290.5950.6510.542

CMS Severity × intensity Tier

cms_severityTier 1Tier 2Tier 3All
CC59545118
MCC19251357
No CC/MCC236481285
All31412719460

Feature Analysis

Feature Correlation

Feature correlation heatmap

Feature Audit

pc1_loadingr_with_volumer_with_severity
avg_relative_claim_charge0.391-0.1090.475
avg_n_distinct_rev_codes0.383-0.0590.352
avg_length_of_stay0.350-0.1480.395
rate_icu0.3500.0000.387
rate_mechanical_ventilation0.330-0.0380.466
rate_or0.312-0.0170.300
rate_transfusion0.2290.1360.267
avg_n_imaging_lines0.222-0.2720.241
avg_n_j_code_lines0.206-0.0350.218
rate_multiple_or_days0.2040.0870.249
avg_work_rvu0.160-0.0730.074
rate_dialysis0.1120.1030.291
avg_organ_system_count0.047-0.066-0.350
avg_n_distinct_hcps-0.153-0.024-0.615

Top 6 Tier-Discriminating Features

Top 6 features

Bottom 6 Tier-Discriminating Features

Bottom 6 features

Score Validation

intensity by CMS severity

Volume vs intensity

intensity scatter

Misclassification Audit (N=10 samples)

Over-tiered: Tier 3, No CC/MCC (1 codes)

codecode_descriptioncms_severityintensity_scoretiern_claimskey_drivers
G928Other toxic encephalopathyNo CC/MCC9.30832997relative claim charge (+1.48), n distinct rev codes (+1.30), length of stay (+1.27)

Under-tiered: Tier 1, MCC (5 codes)

codecode_descriptioncms_severityintensity_scoretiern_claimskey_drivers
K2921Alcoholic gastritis with bleedingMCC-3.26411812transfusion (-0.92), n distinct rev codes (-0.69), relative claim charge (-0.50)
K5733Diverticulitis of large intestine without perforation or abscess with bleedingMCC-3.25719490n distinct rev codes (-0.77), or (-0.75), transfusion (-0.59)
K5793Diverticulitis of intestine, part unspecified, without perforation or abscess with bleedingMCC-3.2351833or (-0.82), n distinct rev codes (-0.79), transfusion (-0.63)
K5721Diverticulitis of large intestine with perforation and abscess with bleedingMCC-3.11211748transfusion (-1.11), n distinct rev codes (-1.10), icu (-0.96)
K5791Diverticulosis of intestine, part unspecified, without perforation or abscess with bleedingMCC-2.54316563n distinct rev codes (-0.65), or (-0.58), relative claim charge (-0.43)

Top Codes by Tier

Tier 1 (n=314 codes)

codeDescriptionCMS severityScoreN claimsKey drivers
C7931Secondary malignant neoplasm of brainCC0.237797n imaging lines (+0.46), icu (-0.14), work rvu (-0.12)
I8510Secondary esophageal varices without bleedingCC0.2096297or (+0.62), length of stay (-0.33), n j code lines (+0.30)
K7460Unspecified cirrhosis of liverNo CC/MCC0.1999857or (+0.27), multiple or days (+0.19), length of stay (-0.17)
I248NoneCC0.1922799transfusion (+0.41), icu (+0.35), n distinct rev codes (+0.30)
K633Ulcer of intestineCC0.1912850or (+0.29), mechanical ventilation (-0.13), icu (-0.10)
E878Other disorders of electrolyte and fluid balance, not elsewhere classifiedNo CC/MCC0.1712164icu (+0.29), n distinct hcps (-0.28), multiple or days (-0.18)
C3490Malignant neoplasm of unspecified part of unspecified bronchus or lungCC0.1451412transfusion (+0.23), multiple or days (-0.21), n j code lines (-0.20)
I071Rheumatic tricuspid insufficiencyNo CC/MCC0.1141531n distinct rev codes (+0.25), n distinct hcps (-0.21), work rvu (-0.19)
K269Duodenal ulcer, unspecified as acute or chronic, without hemorrhage or perforationNo CC/MCC0.0733386work rvu (+0.37), relative claim charge (-0.13), or (+0.12)
U071COVID-19MCC0.0714907length of stay (+0.36), relative claim charge (+0.28), or (-0.27)

Tier 2 (n=127 codes)

codeDescriptionCMS severityScoreN claimsKey drivers
E873AlkalosisCC4.8621771relative claim charge (+0.89), n distinct rev codes (+0.79), length of stay (+0.77)
J159Unspecified bacterial pneumoniaMCC4.822801relative claim charge (+0.94), n distinct rev codes (+0.76), length of stay (+0.76)
I2699Other pulmonary embolism without acute cor pulmonaleMCC4.7882514or (+0.87), relative claim charge (+0.84), n distinct rev codes (+0.56)
K7682Hepatic encephalopathyNo CC/MCC4.5703411or (+0.90), icu (+0.60), n distinct rev codes (+0.48)
J90Pleural effusion, not elsewhere classifiedCC4.5075848or (+0.80), n distinct rev codes (+0.73), relative claim charge (+0.64)
L89154Pressure ulcer of sacral region, stage 4MCC4.453832length of stay (+0.87), mechanical ventilation (+0.82), relative claim charge (+0.71)
F05Delirium due to known physiological conditionCC4.4232958length of stay (+0.96), relative claim charge (+0.76), n distinct rev codes (+0.56)
M6281Muscle weakness (generalized)No CC/MCC4.1011024length of stay (+2.46), n distinct rev codes (+1.38), work rvu (+0.22)
E870Hyperosmolality and hypernatremiaCC4.0627958relative claim charge (+0.71), length of stay (+0.68), n distinct rev codes (+0.64)
J189Pneumonia, unspecified organismMCC4.0549624n distinct rev codes (+0.71), relative claim charge (+0.68), length of stay (+0.53)

Tier 3 (n=19 codes)

codeDescriptionCMS severityScoreN claimsKey drivers
J9602Acute respiratory failure with hypercapniaMCC13.4551233mechanical ventilation (+2.74), relative claim charge (+2.24), icu (+1.70)
J9600Acute respiratory failure, unspecified whether with hypoxia or hypercapniaMCC11.6981073mechanical ventilation (+3.95), icu (+1.60), or (+1.40)
K7200Acute and subacute hepatic failure without comaMCC10.4171140mechanical ventilation (+2.10), relative claim charge (+1.85), icu (+1.63)
J9622Acute and chronic respiratory failure with hypercapniaMCC9.7671792relative claim charge (+1.97), length of stay (+1.35), icu (+1.33)
A419Sepsis, unspecified organismMCC9.6784128relative claim charge (+1.59), mechanical ventilation (+1.26), n distinct rev codes (+1.25)
G928Other toxic encephalopathyNo CC/MCC9.3082997relative claim charge (+1.48), n distinct rev codes (+1.30), length of stay (+1.27)
E874Mixed disorder of acid-base balanceCC8.8571015relative claim charge (+1.33), mechanical ventilation (+1.27), n distinct rev codes (+1.17)
J690Pneumonitis due to inhalation of food and vomitMCC8.6585235mechanical ventilation (+1.46), relative claim charge (+1.41), n distinct rev codes (+1.13)
I639Cerebral infarction, unspecifiedMCC8.236735n imaging lines (+1.91), n distinct rev codes (+1.30), length of stay (+1.20)
J918Pleural effusion in other conditions classified elsewhereCC7.225916or (+2.13), relative claim charge (+1.31), n distinct rev codes (+1.29)

Key Driver Frequency

featurecountpct
relative claim charge21346.300
n distinct rev codes19241.700
icu17137.200
length of stay16736.300
or13028.300
transfusion10122.000
n j code lines9520.700
n imaging lines9119.800
multiple or days8618.700
n distinct hcps5311.500
work rvu4810.400
mechanical ventilation255.400
dialysis81.700

Key driver frequency

PCS Codes

Data Overview

2621 total codes in komodo_rii; 80 retained after n_claims > 500 filter.

PCA Analysis

PC1 explains 55.0% of variance; PC1+PC2 together explain 64.7%.

PCA scree plot

Feature loadings

intensity distribution

Tier Clustering (k=3)

KMeans elbow

Tier Summary

tiern_codesn_claimsn distinct rev codeslength of stayrelative claim chargeorgan system countmechanical ventilationn imaging linesicuwork rvu
146.000543473.00017.8315.2261.1705.3330.0150.7390.3520.333
226.00049884.00021.5357.9521.9955.7240.1421.0190.6110.456
38.00012401.00024.52211.1262.8686.1760.5071.2090.8110.740

Feature Analysis

Feature Correlation

Feature correlation heatmap

Feature Audit

pc1_loadingr_with_volume
avg_relative_claim_charge0.350-0.352
avg_n_distinct_rev_codes0.342-0.348
avg_length_of_stay0.324-0.394
rate_icu0.324-0.295
avg_n_imaging_lines0.320-0.427
avg_organ_system_count0.314-0.263
rate_transfusion0.259-0.096
avg_work_rvu0.256-0.037
rate_or0.256-0.315
rate_mechanical_ventilation0.251-0.339
avg_n_j_code_lines0.221-0.211
rate_multiple_or_days0.153-0.002
rate_dialysis0.127-0.114
avg_n_distinct_hcps0.0190.003

Top 6 Tier-Discriminating Features

Top 6 features

Bottom 6 Tier-Discriminating Features

Bottom 6 features

Score Validation

Volume vs intensity

intensity scatter

Top Codes by Tier

Tier 1 (n=46 codes)

codeDescriptionScoreN claimsKey drivers
5A1D70ZPERFORMANCE OF URINARY FILTRATION, INTERMITTENT, LESS THAN 6 HOURS PER DAY-0.30017173dialysis (+0.67), n imaging lines (-0.35), organ system count (+0.28)
XW0G886INTRODUCTION OF MINERAL-BASED TOPICAL HEMOSTATIC AGENT INTO UPPER GI, VIA NATURAL OR ARTIFICIAL OPENING ENDOSCOPIC, NEW TECHNOLOGY GROUP 6-0.3283520transfusion (+0.17), length of stay (-0.16), organ system count (-0.11)
XW033E5INTRODUCTION OF REMDESIVIR ANTI-INFECTIVE INTO PERIPHERAL VEIN, PERCUTANEOUS APPROACH, NEW TECHNOLOGY GROUP 5-0.653887or (-0.26), length of stay (+0.22), icu (-0.22)
B24BZZZULTRASONOGRAPHY OF HEART WITH AORTA-0.6631419multiple or days (-0.31), or (-0.21), organ system count (+0.15)
0T9B70ZDRAINAGE OF BLADDER WITH DRAINAGE DEVICE, VIA NATURAL OR ARTIFICIAL OPENING-0.665834n distinct rev codes (-0.28), organ system count (+0.26), transfusion (-0.19)
3E1M39ZIRRIGATION OF PERITONEAL CAVITY USING DIALYSATE, PERCUTANEOUS APPROACH-1.051963dialysis (+0.49), n imaging lines (-0.42), or (-0.23)
0DJ07ZZINSPECTION OF UPPER INTESTINAL TRACT, VIA NATURAL OR ARTIFICIAL OPENING-1.1366171n imaging lines (-0.45), icu (-0.30), work rvu (+0.25)
30233N1TRANSFUSION OF NONAUTOLOGOUS RED BLOOD CELLS INTO PERIPHERAL VEIN, PERCUTANEOUS APPROACH-1.277109298transfusion (+0.44), n distinct rev codes (-0.27), relative claim charge (-0.26)
0D598ZZDESTRUCTION OF DUODENUM, VIA NATURAL OR ARTIFICIAL OPENING ENDOSCOPIC-1.2962070n imaging lines (-0.35), relative claim charge (-0.23), icu (-0.22)
3E0G8GCINTRODUCTION OF OTHER THERAPEUTIC SUBSTANCE INTO UPPER GI, VIA NATURAL OR ARTIFICIAL OPENING ENDOSCOPIC-1.3409798length of stay (-0.23), n imaging lines (-0.19), n distinct rev codes (-0.18)

Tier 2 (n=26 codes)

codeDescriptionScoreN claimsKey drivers
02HV33ZINSERTION OF INFUSION DEVICE INTO SUPERIOR VENA CAVA, PERCUTANEOUS APPROACH3.7177803n distinct rev codes (+0.44), relative claim charge (+0.42), icu (+0.41)
5A12012PERFORMANCE OF CARDIAC OUTPUT, SINGLE, MANUAL3.364729n imaging lines (+0.64), mechanical ventilation (+0.52), icu (+0.47)
06HY33ZINSERTION OF INFUSION DEVICE INTO LOWER VEIN, PERCUTANEOUS APPROACH3.165709icu (+0.58), relative claim charge (+0.54), n imaging lines (+0.44)
B548ZZAULTRASONOGRAPHY OF SUPERIOR VENA CAVA, GUIDANCE3.045937n distinct rev codes (+0.43), organ system count (+0.39), length of stay (+0.39)
5A1935ZRESPIRATORY VENTILATION, LESS THAN 24 CONSECUTIVE HOURS2.9441920mechanical ventilation (+1.02), icu (+0.64), organ system count (+0.33)
07DR3ZXEXTRACTION OF ILIAC BONE MARROW, PERCUTANEOUS APPROACH, DIAGNOSTIC2.922716n imaging lines (+0.89), or (+0.52), n distinct rev codes (+0.51)
0W9B3ZZDRAINAGE OF LEFT PLEURAL CAVITY, PERCUTANEOUS APPROACH2.921846n distinct rev codes (+0.66), length of stay (+0.58), or (+0.52)
5A0935AASSISTANCE WITH RESPIRATORY VENTILATION, LESS THAN 24 CONSECUTIVE HOURS, HIGH NASAL FLOW/VELOCITY2.488778relative claim charge (+0.43), organ system count (+0.42), length of stay (+0.41)
0W993ZZDRAINAGE OF RIGHT PLEURAL CAVITY, PERCUTANEOUS APPROACH2.3521359n distinct rev codes (+0.55), or (+0.50), organ system count (+0.44)
B4141ZZFLUOROSCOPY OF SUPERIOR MESENTERIC ARTERY USING LOW OSMOLAR CONTRAST2.2861915or (+0.60), work rvu (+0.51), relative claim charge (+0.36)

Tier 3 (n=8 codes)

codeDescriptionScoreN claimsKey drivers
5A1955ZRESPIRATORY VENTILATION, GREATER THAN 96 CONSECUTIVE HOURS9.029992relative claim charge (+1.49), length of stay (+1.23), mechanical ventilation (+1.02)
0JH63XZINSERTION OF TUNNELED VASCULAR ACCESS DEVICE INTO CHEST SUBCUTANEOUS TISSUE AND FASCIA, PERCUTANEOUS APPROACH6.257836length of stay (+1.13), n distinct rev codes (+0.87), relative claim charge (+0.82)
5A1945ZRESPIRATORY VENTILATION, 24-96 CONSECUTIVE HOURS5.8272237mechanical ventilation (+1.02), icu (+0.73), organ system count (+0.69)
3E043XZINTRODUCTION OF VASOPRESSOR INTO CENTRAL VEIN, PERCUTANEOUS APPROACH5.6011173work rvu (+1.08), icu (+0.74), n distinct rev codes (+0.53)
4A133B1MONITORING OF ARTERIAL PRESSURE, PERIPHERAL, PERCUTANEOUS APPROACH5.551711n j code lines (+0.80), icu (+0.70), n imaging lines (+0.60)
0BH17EZINSERTION OF ENDOTRACHEAL AIRWAY INTO TRACHEA, VIA NATURAL OR ARTIFICIAL OPENING5.3813972mechanical ventilation (+0.89), icu (+0.66), relative claim charge (+0.65)
03HY32ZINSERTION OF MONITORING DEVICE INTO UPPER ARTERY, PERCUTANEOUS APPROACH5.1781731icu (+0.67), n distinct rev codes (+0.58), relative claim charge (+0.58)
02H633ZINSERTION OF INFUSION DEVICE INTO RIGHT ATRIUM, PERCUTANEOUS APPROACH4.264749length of stay (+0.67), n distinct rev codes (+0.66), or (+0.52)

Key Driver Frequency

featurecountpct
icu4050.000
relative claim charge3037.500
organ system count2936.200
n distinct rev codes2632.500
n imaging lines2531.200
transfusion2126.200
length of stay1822.500
work rvu1620.000
or1417.500
n j code lines810.000
multiple or days67.500
mechanical ventilation56.200
dialysis22.500

Key driver frequency