IP - CA.1.heart_failure
CM Codes
Data Overview
15519 total codes in komodo_rii; 411 retained after n_claims > 500 filter.
| CMS severity | n codes |
|---|---|
| No CC/MCC | 281 |
| CC | 101 |
| MCC | 29 |
PCA Analysis
PC1 explains 42.0% of variance; PC1+PC2 together explain 55.3%.



Tier Clustering (k=4)

Tier Summary
| tier | n_codes | n_claims | n distinct rev codes | length of stay | relative claim charge | n imaging lines | work rvu | n j code lines | organ system count | icu |
|---|---|---|---|---|---|---|---|---|---|---|
| 1 | 219.000 | 6231645.000 | 15.309 | 5.766 | 0.976 | 0.533 | 0.487 | 0.342 | 5.703 | 0.334 |
| 2 | 130.000 | 1935394.000 | 16.270 | 6.711 | 1.133 | 0.619 | 0.633 | 0.408 | 5.744 | 0.361 |
| 3 | 50.000 | 673155.000 | 17.519 | 8.062 | 1.372 | 0.700 | 0.692 | 0.469 | 5.791 | 0.403 |
| 4 | 12.000 | 121645.000 | 19.614 | 9.976 | 1.916 | 1.072 | 1.009 | 0.658 | 5.918 | 0.530 |
CMS Severity × intensity Tier
| cms_severity | Tier 1 | Tier 2 | Tier 3 | Tier 4 | All |
|---|---|---|---|---|---|
| CC | 42 | 35 | 20 | 4 | 101 |
| MCC | 6 | 8 | 9 | 6 | 29 |
| No CC/MCC | 171 | 87 | 21 | 2 | 281 |
| All | 219 | 130 | 50 | 12 | 411 |
Feature Analysis
Feature Correlation

Feature Audit
| pc1_loading | r_with_volume | r_with_severity | |
|---|---|---|---|
| avg_relative_claim_charge | 0.388 | -0.069 | 0.318 |
| avg_n_distinct_rev_codes | 0.364 | -0.121 | 0.211 |
| avg_length_of_stay | 0.334 | -0.108 | 0.210 |
| rate_mechanical_ventilation | 0.328 | 0.077 | 0.461 |
| rate_or | 0.321 | -0.023 | 0.294 |
| avg_n_imaging_lines | 0.288 | -0.215 | 0.169 |
| rate_icu | 0.275 | 0.122 | 0.263 |
| rate_multiple_or_days | 0.265 | -0.003 | 0.243 |
| rate_transfusion | 0.251 | -0.039 | 0.262 |
| avg_n_j_code_lines | 0.236 | -0.031 | 0.240 |
| avg_work_rvu | 0.150 | -0.094 | 0.255 |
| rate_dialysis | 0.143 | 0.016 | 0.217 |
| avg_n_distinct_hcps | 0.050 | -0.225 | -0.355 |
| avg_organ_system_count | 0.041 | -0.276 | -0.444 |
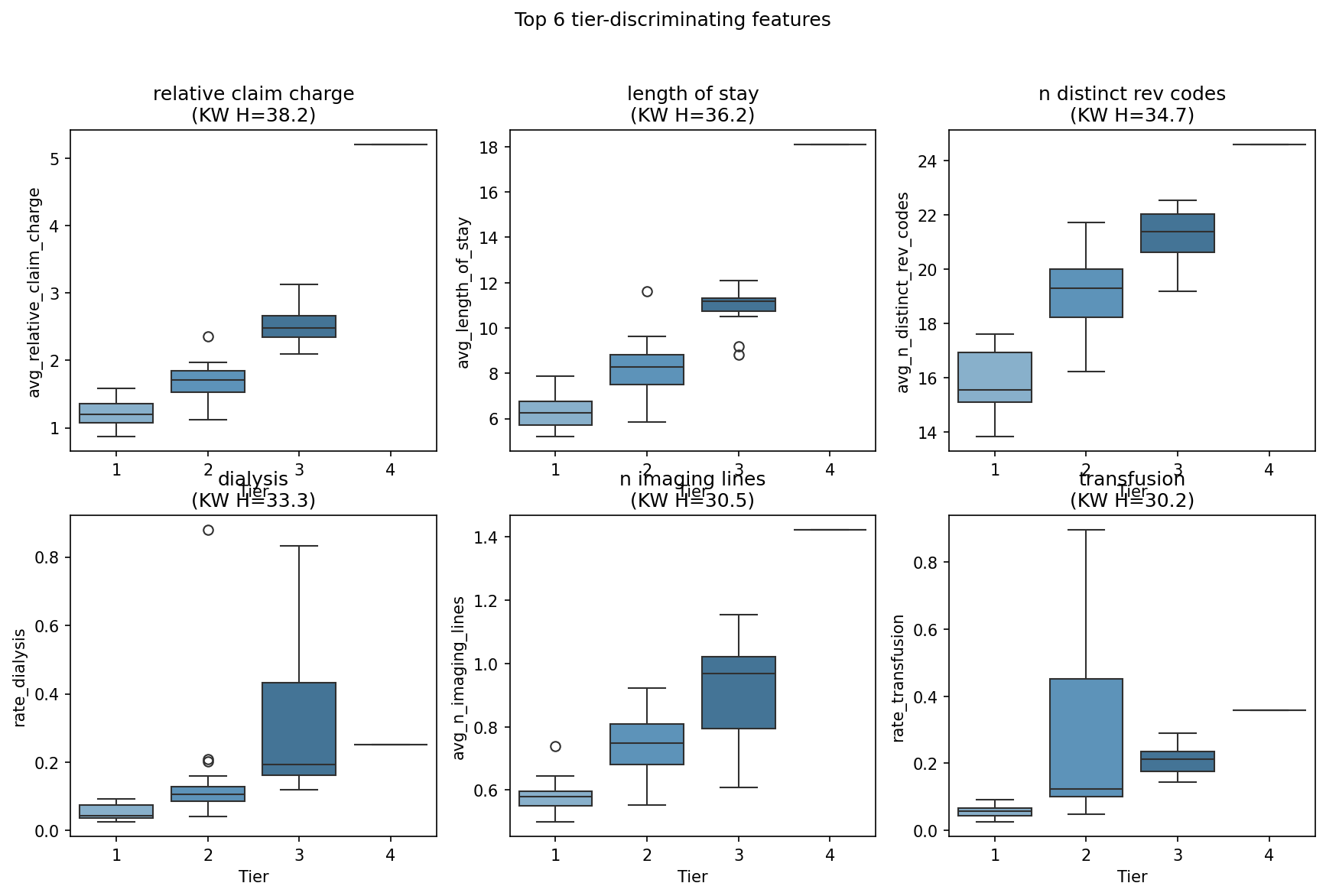
Top 6 Tier-Discriminating Features

Bottom 6 Tier-Discriminating Features

Score Validation



Misclassification Audit (N=10 samples)
Over-tiered: Tier 4, No CC/MCC (2 codes)
| code | code_description | cms_severity | intensity_score | tier | n_claims | key_drivers |
|---|---|---|---|---|---|---|
| G928 | Other toxic encephalopathy | No CC/MCC | 9.415 | 4 | 9919 | relative claim charge (+1.49), mechanical ventilation (+1.45), n imaging lines (+1.32) |
| K7682 | Hepatic encephalopathy | No CC/MCC | 7.159 | 4 | 1799 | relative claim charge (+1.20), or (+1.01), n distinct rev codes (+0.97) |
Under-tiered: Tier 1, MCC (5 codes)
| code | code_description | cms_severity | intensity_score | tier | n_claims | key_drivers |
|---|---|---|---|---|---|---|
| I5031 | Acute diastolic (congestive) heart failure | MCC | -1.953 | 1 | 48251 | length of stay (-0.40), relative claim charge (-0.33), or (-0.23) |
| I5023 | Acute on chronic systolic (congestive) heart failure | MCC | -1.656 | 1 | 230623 | n distinct rev codes (-0.40), length of stay (-0.27), relative claim charge (-0.27) |
| I5021 | Acute systolic (congestive) heart failure | MCC | -1.464 | 1 | 31146 | length of stay (-0.40), relative claim charge (-0.25), n distinct rev codes (-0.25) |
| I5041 | Acute combined systolic (congestive) and diastolic (congestive) heart failure | MCC | -1.352 | 1 | 8670 | length of stay (-0.40), relative claim charge (-0.27), or (-0.18) |
| I5033 | Acute on chronic diastolic (congestive) heart failure | MCC | -1.260 | 1 | 350393 | length of stay (-0.18), relative claim charge (-0.16), or (-0.13) |
Top Codes by Tier
Tier 1 (n=219 codes)
| code | Description | CMS severity | Score | N claims | Key drivers |
|---|---|---|---|---|---|
| D72829 | Elevated white blood cell count, unspecified | No CC/MCC | -0.579 | 18329 | length of stay (-0.23), icu (+0.16), or (-0.15) |
| I071 | Rheumatic tricuspid insufficiency | No CC/MCC | -0.603 | 19074 | n j code lines (-0.10), n imaging lines (-0.10), mechanical ventilation (-0.10) |
| I951 | Orthostatic hypotension | No CC/MCC | -0.625 | 7437 | length of stay (+0.24), n imaging lines (+0.24), n j code lines (-0.23) |
| N185 | Chronic kidney disease, stage 5 | CC | -0.654 | 9261 | n imaging lines (-0.48), transfusion (+0.45), icu (-0.21) |
| E1165 | Type 2 diabetes mellitus with hyperglycemia | No CC/MCC | -0.664 | 64548 | n imaging lines (-0.13), multiple or days (-0.11), length of stay (-0.11) |
| N401 | Benign prostatic hyperplasia with lower urinary tract symptoms | No CC/MCC | -0.673 | 12230 | n j code lines (-0.27), icu (-0.22), multiple or days (+0.20) |
| F331 | Major depressive disorder, recurrent, moderate | CC | -0.684 | 3053 | icu (-0.27), mechanical ventilation (-0.12), n j code lines (-0.11) |
| D7589 | Other specified diseases of blood and blood-forming organs | No CC/MCC | -0.684 | 1709 | relative claim charge (-0.20), multiple or days (-0.20), or (-0.12) |
| I483 | Typical atrial flutter | CC | -0.688 | 2913 | multiple or days (-0.31), n j code lines (-0.25), relative claim charge (+0.23) |
| I501 | Left ventricular failure, unspecified | CC | -0.689 | 1784 | n distinct rev codes (-0.34), length of stay (-0.32), work rvu (+0.26) |
Tier 2 (n=130 codes)
| code | Description | CMS severity | Score | N claims | Key drivers |
|---|---|---|---|---|---|
| J9811 | Atelectasis | CC | 1.900 | 32301 | or (+0.44), n imaging lines (+0.43), n distinct rev codes (+0.37) |
| D61818 | Other pancytopenia | CC | 1.867 | 12045 | transfusion (+0.66), or (+0.34), multiple or days (+0.30) |
| B961 | Klebsiella pneumoniae [K. pneumoniae] as the cause of diseases classified elsewhere | No CC/MCC | 1.805 | 3902 | length of stay (+0.53), n distinct rev codes (+0.52), relative claim charge (+0.33) |
| E8809 | Other disorders of plasma-protein metabolism, not elsewhere classified | No CC/MCC | 1.791 | 13941 | or (+0.43), n distinct rev codes (+0.34), relative claim charge (+0.26) |
| I50810 | Right heart failure, unspecified | No CC/MCC | 1.789 | 2465 | n j code lines (+0.58), relative claim charge (+0.32), work rvu (+0.29) |
| I9589 | Other hypotension | No CC/MCC | 1.755 | 4231 | icu (+0.44), or (+0.39), length of stay (+0.28) |
| E8351 | Hypocalcemia | No CC/MCC | 1.663 | 11427 | or (+0.39), transfusion (+0.29), n distinct rev codes (+0.22) |
| I10 | Essential (primary) hypertension | No CC/MCC | 1.658 | 13240 | work rvu (+1.76), n j code lines (+0.45), length of stay (+0.44) |
| I3139 | Other pericardial effusion (noninflammatory) | No CC/MCC | 1.618 | 24306 | or (+0.41), n imaging lines (+0.33), n distinct rev codes (+0.24) |
| M898X9 | Other specified disorders of bone, unspecified site | No CC/MCC | 1.570 | 3251 | dialysis (+0.79), or (+0.43), transfusion (+0.30) |
Tier 3 (n=50 codes)
| code | Description | CMS severity | Score | N claims | Key drivers |
|---|---|---|---|---|---|
| K921 | Melena | CC | 6.010 | 3714 | transfusion (+1.32), multiple or days (+1.23), n distinct rev codes (+0.74) |
| I953 | Hypotension of hemodialysis | No CC/MCC | 5.404 | 1991 | dialysis (+1.26), or (+0.95), relative claim charge (+0.83) |
| J918 | Pleural effusion in other conditions classified elsewhere | CC | 5.289 | 31727 | or (+2.84), n distinct rev codes (+0.86), multiple or days (+0.50) |
| A0472 | Enterocolitis due to Clostridium difficile, not specified as recurrent | CC | 5.239 | 2684 | length of stay (+1.07), relative claim charge (+0.99), n distinct rev codes (+0.71) |
| D689 | Coagulation defect, unspecified | CC | 5.212 | 5816 | relative claim charge (+0.76), or (+0.65), n distinct rev codes (+0.59) |
| K922 | Gastrointestinal hemorrhage, unspecified | CC | 5.197 | 3787 | transfusion (+1.72), n distinct rev codes (+0.66), work rvu (+0.59) |
| J9602 | Acute respiratory failure with hypercapnia | MCC | 4.847 | 21896 | mechanical ventilation (+1.37), icu (+1.10), relative claim charge (+0.76) |
| E870 | Hyperosmolality and hypernatremia | CC | 4.697 | 14343 | relative claim charge (+0.98), length of stay (+0.82), mechanical ventilation (+0.76) |
| D6832 | Hemorrhagic disorder due to extrinsic circulating anticoagulants | CC | 4.426 | 1710 | transfusion (+0.92), relative claim charge (+0.92), length of stay (+0.81) |
| J9690 | Respiratory failure, unspecified, unspecified whether with hypoxia or hypercapnia | MCC | 4.376 | 2242 | mechanical ventilation (+0.98), icu (+0.71), multiple or days (+0.60) |
Tier 4 (n=12 codes)
| code | Description | CMS severity | Score | N claims | Key drivers |
|---|---|---|---|---|---|
| K7200 | Acute and subacute hepatic failure without coma | MCC | 13.635 | 4022 | mechanical ventilation (+3.43), relative claim charge (+2.23), icu (+1.56) |
| A419 | Sepsis, unspecified organism | MCC | 13.485 | 8614 | mechanical ventilation (+2.66), relative claim charge (+2.11), n distinct rev codes (+1.44) |
| J690 | Pneumonitis due to inhalation of food and vomit | MCC | 11.457 | 10074 | mechanical ventilation (+2.13), relative claim charge (+1.72), n distinct rev codes (+1.41) |
| D62 | Acute posthemorrhagic anemia | CC | 9.486 | 12561 | transfusion (+2.37), relative claim charge (+1.54), n distinct rev codes (+1.30) |
| G928 | Other toxic encephalopathy | No CC/MCC | 9.415 | 9919 | relative claim charge (+1.49), mechanical ventilation (+1.45), n imaging lines (+1.32) |
| N170 | Acute kidney failure with tubular necrosis | MCC | 9.285 | 15459 | relative claim charge (+1.76), mechanical ventilation (+1.33), n distinct rev codes (+1.14) |
| G9349 | Other encephalopathy | CC | 7.913 | 2819 | relative claim charge (+1.33), mechanical ventilation (+1.05), n imaging lines (+1.04) |
| I639 | Cerebral infarction, unspecified | MCC | 7.225 | 1730 | n imaging lines (+2.58), n distinct rev codes (+1.16), relative claim charge (+1.01) |
| K7682 | Hepatic encephalopathy | No CC/MCC | 7.159 | 1799 | relative claim charge (+1.20), or (+1.01), n distinct rev codes (+0.97) |
| G9341 | Metabolic encephalopathy | MCC | 6.878 | 34572 | n imaging lines (+1.06), relative claim charge (+1.05), n distinct rev codes (+1.00) |
Key Driver Frequency
| feature | count | pct |
|---|---|---|
| relative claim charge | 209 | 50.900 |
| n distinct rev codes | 191 | 46.500 |
| length of stay | 156 | 38.000 |
| multiple or days | 121 | 29.400 |
| icu | 116 | 28.200 |
| or | 113 | 27.500 |
| n imaging lines | 110 | 26.800 |
| n j code lines | 110 | 26.800 |
| transfusion | 36 | 8.800 |
| mechanical ventilation | 33 | 8.000 |
| work rvu | 19 | 4.600 |
| dialysis | 18 | 4.400 |
| n distinct hcps | 1 | 0.200 |

PCS Codes
Data Overview
3188 total codes in komodo_rii; 49 retained after n_claims > 500 filter.
PCA Analysis
PC1 explains 51.5% of variance; PC1+PC2 together explain 67.2%.



Tier Clustering (k=4)

Tier Summary
| tier | n_codes | n_claims | length of stay | n distinct rev codes | relative claim charge | work rvu | n j code lines | mechanical ventilation | n imaging lines | organ system count |
|---|---|---|---|---|---|---|---|---|---|---|
| 1 | 15.000 | 161389.000 | 6.275 | 15.888 | 1.225 | 0.399 | 0.468 | 0.017 | 0.585 | 4.770 |
| 2 | 20.000 | 179452.000 | 8.251 | 19.215 | 1.699 | 0.600 | 0.553 | 0.074 | 0.748 | 5.166 |
| 3 | 13.000 | 69796.000 | 10.906 | 21.274 | 2.529 | 0.981 | 0.841 | 0.288 | 0.910 | 5.259 |
| 4 | 1.000 | 1972.000 | 18.091 | 24.598 | 5.202 | 1.808 | 1.640 | 1.000 | 1.422 | 5.401 |
Feature Analysis
Feature Correlation

Feature Audit
| pc1_loading | r_with_volume | |
|---|---|---|
| avg_relative_claim_charge | 0.352 | -0.255 |
| avg_length_of_stay | 0.341 | -0.284 |
| avg_n_distinct_rev_codes | 0.339 | -0.204 |
| avg_n_imaging_lines | 0.316 | -0.367 |
| avg_work_rvu | 0.301 | -0.237 |
| rate_multiple_or_days | 0.268 | -0.167 |
| rate_icu | 0.264 | 0.012 |
| avg_organ_system_count | 0.259 | -0.236 |
| rate_mechanical_ventilation | 0.241 | -0.148 |
| rate_or | 0.239 | -0.078 |
| avg_n_j_code_lines | 0.226 | -0.188 |
| rate_transfusion | 0.174 | -0.182 |
| rate_dialysis | 0.162 | 0.015 |
| avg_n_distinct_hcps | 0.153 | -0.122 |
Top 6 Tier-Discriminating Features

Bottom 6 Tier-Discriminating Features

Score Validation


Top Codes by Tier
Tier 1 (n=15 codes)
| code | Description | Score | N claims | Key drivers |
|---|---|---|---|---|
| 5A09457 | ASSISTANCE WITH RESPIRATORY VENTILATION, 24-96 CONSECUTIVE HOURS, CONTINUOUS POSITIVE AIRWAY PRESSURE | -1.979 | 11155 | n imaging lines (-0.30), work rvu (-0.29), n distinct rev codes (-0.23) |
| 0T9B70Z | DRAINAGE OF BLADDER WITH DRAINAGE DEVICE, VIA NATURAL OR ARTIFICIAL OPENING | -2.026 | 4089 | n distinct rev codes (-0.44), work rvu (-0.34), multiple or days (-0.23) |
| B246ZZ4 | ULTRASONOGRAPHY OF RIGHT AND LEFT HEART, TRANSESOPHAGEAL | -2.262 | 3567 | organ system count (-0.47), n imaging lines (-0.27), length of stay (-0.24) |
| 5A09357 | ASSISTANCE WITH RESPIRATORY VENTILATION, LESS THAN 24 CONSECUTIVE HOURS, CONTINUOUS POSITIVE AIRWAY PRESSURE | -2.406 | 73681 | n imaging lines (-0.34), n distinct rev codes (-0.31), length of stay (-0.31) |
| 4B02XTZ | MEASUREMENT OF CARDIAC DEFIBRILLATOR, EXTERNAL APPROACH | -2.523 | 1713 | n distinct rev codes (-0.50), relative claim charge (-0.34), n imaging lines (-0.34) |
| B24BZZ4 | ULTRASONOGRAPHY OF HEART WITH AORTA, TRANSESOPHAGEAL | -2.574 | 8608 | organ system count (-0.42), multiple or days (-0.32), n imaging lines (-0.29) |
| 4A033R1 | MEASUREMENT OF ARTERIAL SATURATION, PERIPHERAL, PERCUTANEOUS APPROACH | -2.694 | 2162 | work rvu (-0.48), length of stay (-0.39), multiple or days (-0.34) |
| B24BZZZ | ULTRASONOGRAPHY OF HEART WITH AORTA | -3.077 | 12915 | n distinct rev codes (-0.47), length of stay (-0.40), relative claim charge (-0.37) |
| 5A2204Z | RESTORATION OF CARDIAC RHYTHM, SINGLE | -3.080 | 18153 | organ system count (-0.58), n imaging lines (-0.43), length of stay (-0.32) |
| 3E03329 | INTRODUCTION OF OTHER ANTI-INFECTIVE INTO PERIPHERAL VEIN, PERCUTANEOUS APPROACH | -3.099 | 1972 | work rvu (-0.45), multiple or days (-0.41), icu (-0.40) |
Tier 2 (n=20 codes)
| code | Description | Score | N claims | Key drivers |
|---|---|---|---|---|
| 5A1935Z | RESPIRATORY VENTILATION, LESS THAN 24 CONSECUTIVE HOURS | 1.326 | 2756 | mechanical ventilation (+0.78), icu (+0.39), n imaging lines (+0.23) |
| 0DJ08ZZ | INSPECTION OF UPPER INTESTINAL TRACT, VIA NATURAL OR ARTIFICIAL OPENING ENDOSCOPIC | 1.113 | 3885 | organ system count (+0.37), transfusion (+0.36), multiple or days (+0.33) |
| 0DJD8ZZ | INSPECTION OF LOWER INTESTINAL TRACT, VIA NATURAL OR ARTIFICIAL OPENING ENDOSCOPIC | 0.931 | 2314 | multiple or days (+0.41), organ system count (+0.38), transfusion (+0.38) |
| 0DB78ZX | EXCISION OF STOMACH, PYLORUS, VIA NATURAL OR ARTIFICIAL OPENING ENDOSCOPIC, DIAGNOSTIC | 0.885 | 1973 | n distinct rev codes (+0.38), organ system count (+0.37), transfusion (+0.29) |
| 0DB98ZX | EXCISION OF DUODENUM, VIA NATURAL OR ARTIFICIAL OPENING ENDOSCOPIC, DIAGNOSTIC | 0.356 | 1804 | n distinct rev codes (+0.36), organ system count (+0.34), transfusion (+0.32) |
| 0DB68ZX | EXCISION OF STOMACH, VIA NATURAL OR ARTIFICIAL OPENING ENDOSCOPIC, DIAGNOSTIC | 0.307 | 3954 | n distinct rev codes (+0.36), organ system count (+0.34), transfusion (+0.27) |
| 05HB33Z | INSERTION OF INFUSION DEVICE INTO RIGHT BASILIC VEIN, PERCUTANEOUS APPROACH | 0.267 | 1696 | multiple or days (+0.30), n distinct hcps (-0.29), or (+0.21) |
| 30233N1 | TRANSFUSION OF NONAUTOLOGOUS RED BLOOD CELLS INTO PERIPHERAL VEIN, PERCUTANEOUS APPROACH | 0.234 | 22190 | transfusion (+0.73), organ system count (+0.23), n imaging lines (-0.17) |
| 05HY33Z | INSERTION OF INFUSION DEVICE INTO UPPER VEIN, PERCUTANEOUS APPROACH | -0.109 | 3287 | n distinct hcps (-0.32), multiple or days (+0.25), or (+0.16) |
| 5A0945A | ASSISTANCE WITH RESPIRATORY VENTILATION, 24-96 CONSECUTIVE HOURS, HIGH NASAL FLOW/VELOCITY | -0.197 | 4098 | icu (+0.27), or (-0.19), n j code lines (+0.13) |
Tier 3 (n=13 codes)
| code | Description | Score | N claims | Key drivers |
|---|---|---|---|---|
| 0BH17EZ | INSERTION OF ENDOTRACHEAL AIRWAY INTO TRACHEA, VIA NATURAL OR ARTIFICIAL OPENING | 4.158 | 7377 | n imaging lines (+0.67), mechanical ventilation (+0.66), relative claim charge (+0.61) |
| 5A1945Z | RESPIRATORY VENTILATION, 24-96 CONSECUTIVE HOURS | 4.135 | 3912 | mechanical ventilation (+0.78), n imaging lines (+0.62), icu (+0.60) |
| 03HY32Z | INSERTION OF MONITORING DEVICE INTO UPPER ARTERY, PERCUTANEOUS APPROACH | 3.965 | 3802 | work rvu (+0.75), icu (+0.51), relative claim charge (+0.50) |
| 3E043XZ | INTRODUCTION OF VASOPRESSOR INTO CENTRAL VEIN, PERCUTANEOUS APPROACH | 3.245 | 2403 | icu (+0.50), work rvu (+0.46), n j code lines (+0.39) |
| 02H633Z | INSERTION OF INFUSION DEVICE INTO RIGHT ATRIUM, PERCUTANEOUS APPROACH | 2.980 | 5460 | length of stay (+0.50), dialysis (+0.49), n distinct rev codes (+0.49) |
| 0JH63XZ | INSERTION OF TUNNELED VASCULAR ACCESS DEVICE INTO CHEST SUBCUTANEOUS TISSUE AND FASCIA, PERCUTANEOUS APPROACH | 2.869 | 10143 | dialysis (+0.54), or (+0.52), n distinct rev codes (+0.49) |
| B548ZZA | ULTRASONOGRAPHY OF SUPERIOR VENA CAVA, GUIDANCE | 2.608 | 2811 | length of stay (+0.42), relative claim charge (+0.35), n distinct rev codes (+0.34) |
| 02HV33Z | INSERTION OF INFUSION DEVICE INTO SUPERIOR VENA CAVA, PERCUTANEOUS APPROACH | 2.538 | 20686 | length of stay (+0.37), or (+0.31), n distinct rev codes (+0.31) |
| 0W9930Z | DRAINAGE OF RIGHT PLEURAL CAVITY WITH DRAINAGE DEVICE, PERCUTANEOUS APPROACH | 2.375 | 3313 | multiple or days (+0.80), n imaging lines (+0.39), or (+0.32) |
| 05HM33Z | INSERTION OF INFUSION DEVICE INTO RIGHT INTERNAL JUGULAR VEIN, PERCUTANEOUS APPROACH | 2.289 | 2149 | n distinct rev codes (+0.41), length of stay (+0.38), dialysis (+0.35) |
Tier 4 (n=1 codes)
| code | Description | Score | N claims | Key drivers |
|---|---|---|---|---|
| 5A1955Z | RESPIRATORY VENTILATION, GREATER THAN 96 CONSECUTIVE HOURS | 9.360 | 1972 | relative claim charge (+1.60), length of stay (+1.34), n imaging lines (+1.11) |
Key Driver Frequency
| feature | count | pct |
|---|---|---|
| n distinct rev codes | 20 | 40.800 |
| length of stay | 17 | 34.700 |
| n imaging lines | 16 | 32.700 |
| work rvu | 14 | 28.600 |
| or | 13 | 26.500 |
| organ system count | 12 | 24.500 |
| multiple or days | 11 | 22.400 |
| icu | 11 | 22.400 |
| relative claim charge | 9 | 18.400 |
| n j code lines | 8 | 16.300 |
| transfusion | 6 | 12.200 |
| mechanical ventilation | 4 | 8.200 |
| dialysis | 4 | 8.200 |
| n distinct hcps | 2 | 4.100 |
