OP - LA.0.genomic
CM Codes
Data Overview
7261 total codes in komodo_rii; 72 retained after n_claims > 500 filter.
| CMS severity | n codes |
|---|---|
| No CC/MCC | 48 |
| CC | 24 |
PCA Analysis
PC1 explains 31.3% of variance; PC1+PC2 together explain 51.6%.



Tier Clustering (k=4)

Tier Summary
| tier | n_codes | n_claims | n j code lines | work rvu | organ system count | n distinct hcps | n distinct rev codes | relative claim charge | transfusion | or |
|---|---|---|---|---|---|---|---|---|---|---|
| 1 | 3.000 | 1782.000 | 1.851 | 2.410 | 1.754 | 0.422 | 2.107 | 0.913 | 0.031 | 0.003 |
| 2 | 12.000 | 15707.000 | 0.372 | 1.213 | 2.002 | 0.509 | 1.871 | 1.070 | 0.018 | 0.001 |
| 3 | 24.000 | 25147.000 | 0.288 | 0.981 | 1.979 | 0.580 | 1.937 | 1.057 | 0.006 | 0.000 |
| 4 | 33.000 | 36136.000 | 0.045 | 0.476 | 1.201 | 0.720 | 1.895 | 1.006 | 0.000 | 0.000 |
CMS Severity × intensity Tier
| cms_severity | Tier 1 | Tier 2 | Tier 3 | Tier 4 | All |
|---|---|---|---|---|---|
| CC | 1 | 6 | 12 | 5 | 24 |
| No CC/MCC | 2 | 6 | 12 | 28 | 48 |
| All | 3 | 12 | 24 | 33 | 72 |
Feature Analysis
Feature Correlation

Feature Audit
| pc1_loading | r_with_volume | r_with_severity | |
|---|---|---|---|
| avg_n_distinct_hcps | 0.406 | -0.112 | -0.271 |
| avg_relative_claim_charge | 0.055 | -0.034 | 0.033 |
| avg_length_of_stay | -0.000 | nan | nan |
| rate_mechanical_ventilation | -0.000 | nan | nan |
| rate_multiple_or_days | -0.000 | nan | nan |
| avg_n_distinct_rev_codes | -0.052 | 0.106 | -0.257 |
| avg_organ_system_count | -0.115 | -0.025 | 0.068 |
| rate_icu | -0.251 | -0.038 | -0.004 |
| rate_dialysis | -0.268 | 0.106 | 0.339 |
| avg_n_imaging_lines | -0.297 | 0.139 | 0.321 |
| rate_or | -0.324 | 0.295 | 0.150 |
| rate_transfusion | -0.334 | 0.256 | 0.322 |
| avg_n_j_code_lines | -0.400 | 0.054 | 0.289 |
| avg_work_rvu | -0.465 | 0.033 | 0.193 |
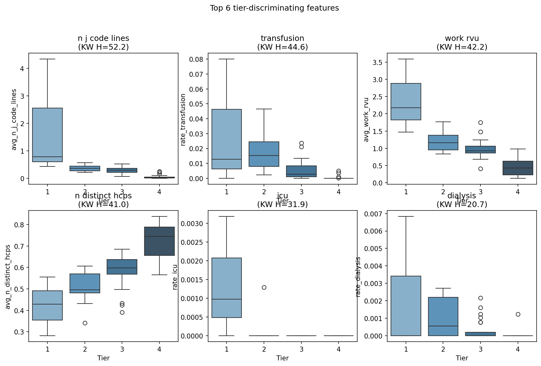
Top 6 Tier-Discriminating Features

Bottom 6 Tier-Discriminating Features

Score Validation



Misclassification Audit (N=10 samples)
Over-tiered: Tier 4, No CC/MCC (5 codes)
| code | code_description | cms_severity | intensity_score | tier | n_claims | key_drivers |
|---|---|---|---|---|---|---|
| F79 | Unspecified intellectual disabilities | No CC/MCC | 2.070 | 4 | 615 | n distinct hcps (+0.68), work rvu (+0.59), n j code lines (+0.20) |
| F809 | Developmental disorder of speech and language, unspecified | No CC/MCC | 1.946 | 4 | 1554 | n distinct hcps (+0.60), work rvu (+0.57), n j code lines (+0.19) |
| F819 | Developmental disorder of scholastic skills, unspecified | No CC/MCC | 1.936 | 4 | 615 | work rvu (+0.61), n distinct hcps (+0.54), n j code lines (+0.20) |
| F82 | Specific developmental disorder of motor function | No CC/MCC | 1.925 | 4 | 808 | n distinct hcps (+0.59), work rvu (+0.56), n j code lines (+0.18) |
| F902 | Attention-deficit hyperactivity disorder, combined type | No CC/MCC | 1.897 | 4 | 506 | work rvu (+0.57), n distinct hcps (+0.53), n j code lines (+0.19) |
Under-tiered: Tier 1, MCC (0 codes)
None.
Top Codes by Tier
Tier 1 (n=3 codes)
| code | Description | CMS severity | Score | N claims | Key drivers |
|---|---|---|---|---|---|
| K219 | Gastro-esophageal reflux disease without esophagitis | No CC/MCC | -5.278 | 665 | icu (-1.89), n imaging lines (-1.40), work rvu (-1.13) |
| C9202 | Acute myeloblastic leukemia, in relapse | CC | -6.327 | 569 | transfusion (-1.95), dialysis (-1.70), n imaging lines (-0.93) |
| O021 | Missed abortion | No CC/MCC | -8.477 | 548 | n j code lines (-3.17), work rvu (-2.33), or (-2.26) |
Tier 2 (n=12 codes)
| code | Description | CMS severity | Score | N claims | Key drivers |
|---|---|---|---|---|---|
| D471 | Chronic myeloproliferative disease | CC | -0.991 | 933 | transfusion (-0.34), dialysis (-0.26), work rvu (-0.22) |
| D619 | Aplastic anemia, unspecified | CC | -1.040 | 746 | n imaging lines (-0.92), n distinct hcps (-0.16), transfusion (-0.14) |
| I10 | Essential (primary) hypertension | No CC/MCC | -1.117 | 3006 | work rvu (-0.41), organ system count (-0.23), or (-0.21) |
| D72829 | Elevated white blood cell count, unspecified | No CC/MCC | -1.178 | 742 | or (-0.99), n distinct hcps (-0.43), work rvu (-0.19) |
| D849 | Immunodeficiency, unspecified | CC | -1.192 | 1015 | transfusion (-0.44), n distinct hcps (-0.42), relative claim charge (+0.32) |
| T865 | Complications of stem cell transplant | CC | -1.525 | 770 | n distinct hcps (-0.93), dialysis (-0.47), organ system count (-0.19) |
| C9200 | Acute myeloblastic leukemia, not having achieved remission | CC | -1.838 | 2725 | transfusion (-0.60), dialysis (-0.51), n distinct hcps (-0.45) |
| E119 | Type 2 diabetes mellitus without complications | No CC/MCC | -1.907 | 864 | work rvu (-0.79), dialysis (-0.62), n distinct hcps (-0.20) |
| D509 | Iron deficiency anemia, unspecified | No CC/MCC | -2.017 | 677 | n imaging lines (-1.18), dialysis (-0.53), or (-0.18) |
| D696 | Thrombocytopenia, unspecified | No CC/MCC | -2.155 | 1424 | transfusion (-1.06), work rvu (-0.59), n distinct hcps (-0.56) |
Tier 3 (n=24 codes)
| code | Description | CMS severity | Score | N claims | Key drivers |
|---|---|---|---|---|---|
| E559 | Vitamin D deficiency, unspecified | No CC/MCC | 0.489 | 873 | work rvu (+0.14), organ system count (-0.14), or (+0.11) |
| C541 | Malignant neoplasm of endometrium | No CC/MCC | 0.378 | 544 | work rvu (-0.31), transfusion (+0.17), n distinct hcps (+0.12) |
| C9101 | Acute lymphoblastic leukemia, in remission | CC | 0.330 | 1206 | n imaging lines (+0.11), dialysis (+0.10), n distinct hcps (+0.09) |
| D751 | Secondary polycythemia | No CC/MCC | 0.299 | 1109 | n distinct hcps (-0.77), work rvu (+0.37), transfusion (+0.15) |
| C9210 | Chronic myeloid leukemia, BCR/ABL-positive, not having achieved remission | CC | 0.183 | 556 | dialysis (-0.17), transfusion (+0.11), or (+0.11) |
| E669 | Obesity, unspecified | No CC/MCC | 0.159 | 661 | n distinct hcps (-0.15), transfusion (+0.14), or (+0.11) |
| C7951 | Secondary malignant neoplasm of bone | CC | 0.124 | 935 | n imaging lines (-0.23), work rvu (+0.13), or (-0.12) |
| C771 | Secondary and unspecified malignant neoplasm of intrathoracic lymph nodes | CC | 0.061 | 586 | or (-0.29), n distinct hcps (+0.20), transfusion (+0.17) |
| C9100 | Acute lymphoblastic leukemia not having achieved remission | CC | 0.032 | 1424 | n distinct hcps (-0.14), n imaging lines (+0.11), dialysis (+0.10) |
| E785 | Hyperlipidemia, unspecified | No CC/MCC | -0.053 | 1567 | organ system count (-0.23), work rvu (-0.17), transfusion (+0.13) |
Tier 4 (n=33 codes)
| code | Description | CMS severity | Score | N claims | Key drivers |
|---|---|---|---|---|---|
| F79 | Unspecified intellectual disabilities | No CC/MCC | 2.070 | 615 | n distinct hcps (+0.68), work rvu (+0.59), n j code lines (+0.20) |
| F809 | Developmental disorder of speech and language, unspecified | No CC/MCC | 1.946 | 1554 | n distinct hcps (+0.60), work rvu (+0.57), n j code lines (+0.19) |
| F819 | Developmental disorder of scholastic skills, unspecified | No CC/MCC | 1.936 | 615 | work rvu (+0.61), n distinct hcps (+0.54), n j code lines (+0.20) |
| F82 | Specific developmental disorder of motor function | No CC/MCC | 1.925 | 808 | n distinct hcps (+0.59), work rvu (+0.56), n j code lines (+0.18) |
| F902 | Attention-deficit hyperactivity disorder, combined type | No CC/MCC | 1.897 | 506 | work rvu (+0.57), n distinct hcps (+0.53), n j code lines (+0.19) |
| C719 | Malignant neoplasm of brain, unspecified | CC | 1.848 | 853 | n distinct hcps (+0.69), work rvu (+0.35), n j code lines (+0.19) |
| F840 | Autistic disorder | CC | 1.818 | 6551 | work rvu (+0.59), n distinct hcps (+0.50), n j code lines (+0.18) |
| F88 | Other disorders of psychological development | No CC/MCC | 1.670 | 2603 | work rvu (+0.54), n distinct hcps (+0.43), n j code lines (+0.18) |
| M6289 | Other specified disorders of muscle | No CC/MCC | 1.667 | 785 | work rvu (+0.53), n distinct hcps (+0.41), n j code lines (+0.18) |
| G40909 | Epilepsy, unspecified, not intractable, without status epilepticus | No CC/MCC | 1.654 | 567 | n distinct hcps (+0.54), work rvu (+0.42), transfusion (+0.17) |
Key Driver Frequency
| feature | count | pct |
|---|---|---|
| n distinct hcps | 49 | 68.100 |
| work rvu | 46 | 63.900 |
| transfusion | 37 | 51.400 |
| n j code lines | 27 | 37.500 |
| organ system count | 15 | 20.800 |
| or | 15 | 20.800 |
| dialysis | 13 | 18.100 |
| n imaging lines | 11 | 15.300 |
| icu | 2 | 2.800 |
| relative claim charge | 1 | 1.400 |
