IP - OB.1.antepartum
CM Codes
Data Overview
10438 total codes in komodo_rii; 344 retained after n_claims > 500 filter.
| CMS severity | n codes |
|---|---|
| No CC/MCC | 245 |
| CC | 77 |
| MCC | 22 |
PCA Analysis
PC1 explains 33.7% of variance; PC1+PC2 together explain 59.0%.



Tier Clustering (k=3)

Tier Summary
| tier | n_codes | n_claims | n distinct rev codes | organ system count | length of stay | relative claim charge | n imaging lines | or | icu | work rvu |
|---|---|---|---|---|---|---|---|---|---|---|
| 1 | 217.000 | 2087643.000 | 10.460 | 1.249 | 3.044 | 1.071 | 0.033 | 0.349 | 0.022 | 0.393 |
| 2 | 106.000 | 359245.000 | 10.462 | 2.324 | 3.770 | 1.119 | 0.172 | 0.133 | 0.086 | 0.245 |
| 3 | 21.000 | 51506.000 | 12.410 | 3.115 | 4.112 | 1.503 | 0.375 | 0.113 | 0.241 | 0.247 |
CMS Severity × intensity Tier
| cms_severity | Tier 1 | Tier 2 | Tier 3 | All |
|---|---|---|---|---|
| CC | 34 | 35 | 8 | 77 |
| MCC | 12 | 5 | 5 | 22 |
| No CC/MCC | 171 | 66 | 8 | 245 |
| All | 217 | 106 | 21 | 344 |
Feature Analysis
Feature Correlation

Feature Audit
| pc1_loading | r_with_volume | r_with_severity | |
|---|---|---|---|
| rate_icu | 0.419 | -0.263 | 0.312 |
| avg_n_imaging_lines | 0.402 | -0.256 | 0.246 |
| avg_organ_system_count | 0.369 | -0.213 | 0.139 |
| rate_mechanical_ventilation | 0.344 | -0.051 | 0.153 |
| rate_dialysis | 0.313 | -0.112 | 0.274 |
| avg_length_of_stay | 0.231 | -0.284 | 0.209 |
| avg_relative_claim_charge | 0.228 | -0.168 | 0.119 |
| avg_n_distinct_rev_codes | 0.170 | -0.059 | 0.078 |
| rate_transfusion | 0.152 | -0.143 | 0.163 |
| rate_multiple_or_days | -0.030 | 0.217 | -0.039 |
| avg_n_j_code_lines | -0.088 | -0.008 | -0.041 |
| avg_work_rvu | -0.152 | 0.014 | -0.129 |
| rate_or | -0.238 | 0.108 | -0.260 |
| avg_n_distinct_hcps | -0.254 | 0.159 | -0.231 |
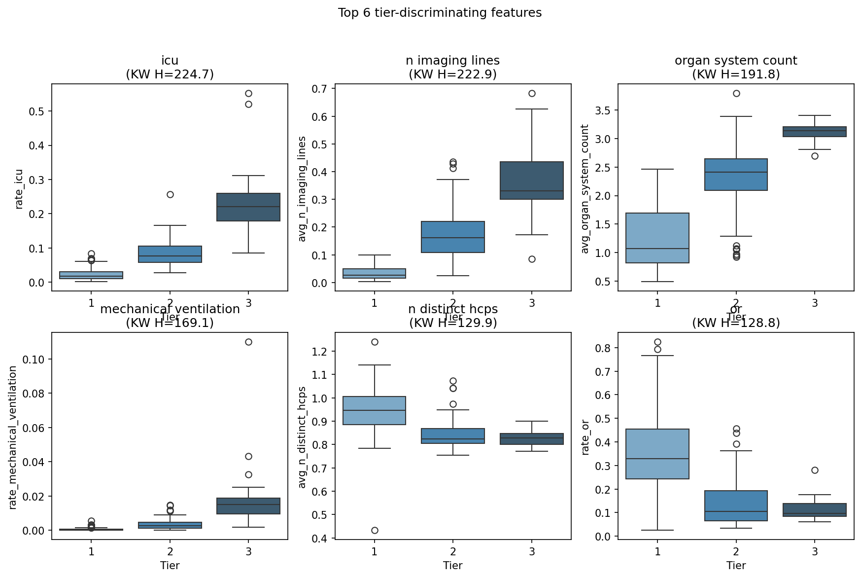
Top 6 Tier-Discriminating Features

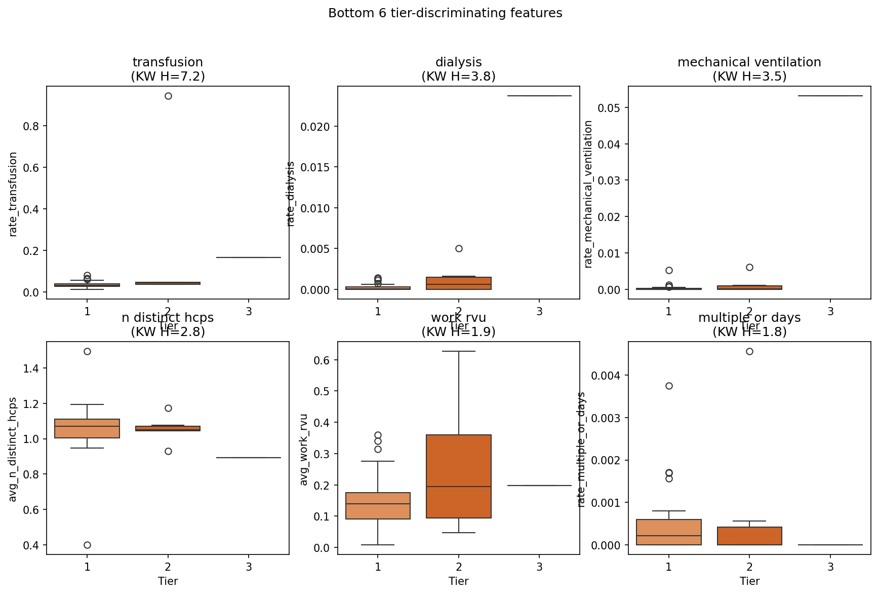
Bottom 6 Tier-Discriminating Features

Score Validation



Misclassification Audit (N=10 samples)
Over-tiered: Tier 3, No CC/MCC (5 codes)
| code | code_description | cms_severity | intensity_score | tier | n_claims | key_drivers |
|---|---|---|---|---|---|---|
| E8720 | Acidosis, unspecified | No CC/MCC | 8.833 | 3 | 2662 | dialysis (+2.01), icu (+1.61), mechanical ventilation (+1.39) |
| O99351 | Diseases of the nervous system complicating pregnancy, first trimester | No CC/MCC | 7.488 | 3 | 1767 | n imaging lines (+2.07), mechanical ventilation (+1.88), icu (+1.06) |
| O9A212 | Injury, poisoning and certain other consequences of external causes complicating pregnancy, second trimester | No CC/MCC | 5.644 | 3 | 1264 | n imaging lines (+1.87), mechanical ventilation (+1.04), icu (+0.78) |
| O99511 | Diseases of the respiratory system complicating pregnancy, first trimester | No CC/MCC | 5.029 | 3 | 2688 | mechanical ventilation (+0.98), icu (+0.92), n imaging lines (+0.72) |
| O99352 | Diseases of the nervous system complicating pregnancy, second trimester | No CC/MCC | 4.949 | 3 | 3528 | n imaging lines (+1.80), icu (+0.75), organ system count (+0.66) |
Under-tiered: Tier 1, MCC (5 codes)
| code | code_description | cms_severity | intensity_score | tier | n_claims | key_drivers |
|---|---|---|---|---|---|---|
| O411230 | Chorioamnionitis, third trimester, not applicable or unspecified | MCC | -1.114 | 1 | 15805 | organ system count (-0.44), relative claim charge (+0.28), n imaging lines (-0.25) |
| O6003 | Preterm labor without delivery, third trimester | MCC | -1.099 | 1 | 16827 | relative claim charge (-0.48), organ system count (-0.33), or (+0.32) |
| O2412 | Pre-existing type 2 diabetes mellitus, in childbirth | MCC | -1.009 | 1 | 3049 | or (-0.43), n distinct hcps (-0.38), relative claim charge (+0.32) |
| K831 | Obstruction of bile duct | MCC | -0.874 | 1 | 1991 | icu (-0.23), n imaging lines (-0.21), work rvu (-0.15) |
| O6014X0 | Preterm labor third trimester with preterm delivery third trimester, not applicable or unspecified | MCC | -0.766 | 1 | 7562 | organ system count (-0.37), n distinct hcps (-0.29), n distinct rev codes (+0.26) |
Top Codes by Tier
Tier 1 (n=217 codes)
| code | Description | CMS severity | Score | N claims | Key drivers |
|---|---|---|---|---|---|
| D509 | Iron deficiency anemia, unspecified | No CC/MCC | 0.063 | 19857 | organ system count (+0.21), transfusion (+0.15), dialysis (-0.11) |
| O114 | Pre-existing hypertension with pre-eclampsia, complicating childbirth | No CC/MCC | 0.012 | 1432 | relative claim charge (+0.50), n distinct rev codes (+0.42), or (-0.40) |
| O210 | Mild hyperemesis gravidarum | No CC/MCC | 0.004 | 5990 | or (+0.25), n distinct hcps (+0.25), relative claim charge (-0.17) |
| O1415 | Severe pre-eclampsia, complicating the puerperium | No CC/MCC | -0.003 | 1089 | relative claim charge (+0.38), length of stay (+0.32), n distinct rev codes (+0.30) |
| F1290 | Cannabis use, unspecified, uncomplicated | No CC/MCC | -0.055 | 6528 | organ system count (+0.21), length of stay (-0.13), relative claim charge (-0.12) |
| O4412 | Complete placenta previa with hemorrhage, second trimester | MCC | -0.109 | 1221 | organ system count (-0.33), n distinct hcps (+0.30), n distinct rev codes (-0.29) |
| O23593 | Infection of other part of genital tract in pregnancy, third trimester | CC | -0.122 | 2835 | or (+0.15), work rvu (+0.12), icu (-0.11) |
| O99810 | Abnormal glucose complicating pregnancy | No CC/MCC | -0.134 | 1032 | relative claim charge (-0.19), icu (+0.18), or (+0.17) |
| O1413 | Severe pre-eclampsia, third trimester | MCC | -0.140 | 2581 | n distinct hcps (+0.33), organ system count (-0.25), or (+0.20) |
| O2343 | Unspecified infection of urinary tract in pregnancy, third trimester | CC | -0.147 | 4887 | dialysis (-0.14), or (+0.12), work rvu (+0.11) |
Tier 2 (n=106 codes)
| code | Description | CMS severity | Score | N claims | Key drivers |
|---|---|---|---|---|---|
| O99012 | Anemia complicating pregnancy, second trimester | No CC/MCC | 3.625 | 8645 | n imaging lines (+0.51), icu (+0.46), organ system count (+0.45) |
| O26612 | Liver and biliary tract disorders in pregnancy, second trimester | CC | 3.621 | 1181 | n imaging lines (+1.12), dialysis (+0.51), organ system count (+0.44) |
| O98512 | Other viral diseases complicating pregnancy, second trimester | CC | 3.336 | 1379 | n imaging lines (+0.60), icu (+0.58), dialysis (+0.42) |
| O99282 | Endocrine, nutritional and metabolic diseases complicating pregnancy, second trimester | No CC/MCC | 3.319 | 8448 | icu (+0.66), n imaging lines (+0.58), organ system count (+0.55) |
| E876 | Hypokalemia | No CC/MCC | 3.169 | 8845 | icu (+0.70), organ system count (+0.61), n imaging lines (+0.58) |
| O99281 | Endocrine, nutritional and metabolic diseases complicating pregnancy, first trimester | No CC/MCC | 3.124 | 6113 | icu (+0.68), n imaging lines (+0.52), organ system count (+0.47) |
| O24012 | Pre-existing type 1 diabetes mellitus, in pregnancy, second trimester | CC | 2.899 | 1369 | icu (+1.27), dialysis (+0.52), organ system count (+0.36) |
| O99211 | Obesity complicating pregnancy, first trimester | No CC/MCC | 2.808 | 2013 | n imaging lines (+0.68), icu (+0.60), organ system count (+0.45) |
| O99331 | Smoking (tobacco) complicating pregnancy, first trimester | No CC/MCC | 2.586 | 1898 | icu (+0.55), organ system count (+0.48), n imaging lines (+0.40) |
| O26891 | Other specified pregnancy related conditions, first trimester | No CC/MCC | 2.578 | 1680 | n imaging lines (+0.84), icu (+0.57), organ system count (+0.32) |
Tier 3 (n=21 codes)
| code | Description | CMS severity | Score | N claims | Key drivers |
|---|---|---|---|---|---|
| J9601 | Acute respiratory failure with hypoxia | MCC | 15.120 | 1796 | mechanical ventilation (+4.97), icu (+3.13), n imaging lines (+1.65) |
| E8720 | Acidosis, unspecified | No CC/MCC | 8.833 | 2662 | dialysis (+2.01), icu (+1.61), mechanical ventilation (+1.39) |
| O99351 | Diseases of the nervous system complicating pregnancy, first trimester | No CC/MCC | 7.488 | 1767 | n imaging lines (+2.07), mechanical ventilation (+1.88), icu (+1.06) |
| N179 | Acute kidney failure, unspecified | CC | 7.113 | 1943 | dialysis (+2.24), icu (+1.29), organ system count (+0.77) |
| J189 | Pneumonia, unspecified organism | MCC | 6.706 | 1532 | n imaging lines (+1.51), icu (+1.24), mechanical ventilation (+0.70) |
| O99111 | Other diseases of the blood and blood-forming organs and certain disorders involving the immune mechanism complicating pregnancy, first trimester | CC | 6.341 | 1548 | dialysis (+1.47), icu (+1.05), n imaging lines (+0.90) |
| O26832 | Pregnancy related renal disease, second trimester | CC | 5.850 | 1762 | dialysis (+3.15), n imaging lines (+0.75), organ system count (+0.52) |
| O9A212 | Injury, poisoning and certain other consequences of external causes complicating pregnancy, second trimester | No CC/MCC | 5.644 | 1264 | n imaging lines (+1.87), mechanical ventilation (+1.04), icu (+0.78) |
| O99412 | Diseases of the circulatory system complicating pregnancy, second trimester | CC | 5.590 | 2052 | icu (+1.38), n imaging lines (+1.08), organ system count (+0.67) |
| A419 | Sepsis, unspecified organism | MCC | 5.504 | 3230 | icu (+1.42), n imaging lines (+0.99), organ system count (+0.74) |
Key Driver Frequency
| feature | count | pct |
|---|---|---|
| organ system count | 224 | 65.100 |
| n imaging lines | 173 | 50.300 |
| icu | 160 | 46.500 |
| n distinct hcps | 122 | 35.500 |
| or | 116 | 33.700 |
| relative claim charge | 65 | 18.900 |
| length of stay | 58 | 16.900 |
| dialysis | 33 | 9.600 |
| n distinct rev codes | 28 | 8.100 |
| work rvu | 23 | 6.700 |
| mechanical ventilation | 13 | 3.800 |
| transfusion | 9 | 2.600 |
| n j code lines | 7 | 2.000 |
| multiple or days | 1 | 0.300 |

PCS Codes
Data Overview
1546 total codes in komodo_rii; 40 retained after n_claims > 500 filter.
PCA Analysis
PC1 explains 54.2% of variance; PC1+PC2 together explain 72.1%.



Tier Clustering (k=3)

Tier Summary
| tier | n_codes | n_claims | length of stay | n distinct rev codes | organ system count | relative claim charge | n j code lines | n imaging lines | or | icu |
|---|---|---|---|---|---|---|---|---|---|---|
| 1 | 33.000 | 487550.000 | 2.811 | 10.650 | 0.779 | 1.034 | 0.533 | 0.016 | 0.344 | 0.009 |
| 2 | 6.000 | 14162.000 | 3.380 | 11.966 | 1.267 | 1.335 | 0.818 | 0.066 | 0.613 | 0.029 |
| 3 | 1.000 | 1165.000 | 8.150 | 15.623 | 2.971 | 2.976 | 1.011 | 0.423 | 0.689 | 0.303 |
Feature Analysis
Feature Correlation

Feature Audit
| pc1_loading | r_with_volume | |
|---|---|---|
| avg_relative_claim_charge | 0.356 | -0.215 |
| avg_length_of_stay | 0.345 | -0.179 |
| rate_icu | 0.344 | -0.209 |
| avg_n_imaging_lines | 0.342 | -0.393 |
| rate_dialysis | 0.342 | -0.068 |
| rate_mechanical_ventilation | 0.333 | -0.055 |
| avg_organ_system_count | 0.326 | -0.429 |
| avg_n_distinct_rev_codes | 0.306 | -0.158 |
| rate_or | 0.192 | -0.292 |
| avg_n_j_code_lines | 0.163 | -0.138 |
| rate_transfusion | 0.152 | -0.378 |
| avg_work_rvu | 0.049 | 0.003 |
| rate_multiple_or_days | 0.000 | 0.241 |
| avg_n_distinct_hcps | -0.040 | 0.152 |
Top 6 Tier-Discriminating Features

Bottom 6 Tier-Discriminating Features

Score Validation


Top Codes by Tier
Tier 1 (n=33 codes)
| code | Description | Score | N claims | Key drivers |
|---|---|---|---|---|
| BY4FZZZ | ULTRASONOGRAPHY OF THIRD TRIMESTER, SINGLE FETUS | 0.240 | 1583 | organ system count (+0.54), n j code lines (-0.28), n distinct rev codes (+0.20) |
| 0JHF3HZ | INSERTION OF CONTRACEPTIVE DEVICE INTO LEFT UPPER ARM SUBCUTANEOUS TISSUE AND FASCIA, PERCUTANEOUS APPROACH | 0.085 | 3724 | n j code lines (+0.12), or (+0.11), icu (-0.10) |
| 10H07YZ | INSERTION OF OTHER DEVICE INTO PRODUCTS OF CONCEPTION, VIA NATURAL OR ARTIFICIAL OPENING | 0.053 | 23803 | n distinct rev codes (+0.14), relative claim charge (+0.10), length of stay (+0.10) |
| 4A0HXCZ | MEASUREMENT OF PRODUCTS OF CONCEPTION, CARDIAC RATE, EXTERNAL APPROACH | 0.049 | 4561 | n imaging lines (+0.25), organ system count (+0.24), n j code lines (-0.15) |
| 4A1H74Z | MONITORING OF PRODUCTS OF CONCEPTION, CARDIAC ELECTRICAL ACTIVITY, VIA NATURAL OR ARTIFICIAL OPENING | -0.043 | 1792 | n j code lines (+0.25), icu (-0.11), dialysis (-0.09) |
| 3E02340 | INTRODUCTION OF INFLUENZA VACCINE INTO MUSCLE, PERCUTANEOUS APPROACH | -0.047 | 2201 | n imaging lines (-0.09), length of stay (+0.09), n j code lines (+0.08) |
| 10H073Z | INSERTION OF MONITORING ELECTRODE INTO PRODUCTS OF CONCEPTION, VIA NATURAL OR ARTIFICIAL OPENING | -0.110 | 6703 | icu (-0.11), n imaging lines (-0.11), n distinct rev codes (+0.08) |
| 0U7C7DJ | None | -0.117 | 6277 | relative claim charge (+0.13), length of stay (+0.12), n imaging lines (-0.10) |
| 4A1H7CZ | MONITORING OF PRODUCTS OF CONCEPTION, CARDIAC RATE, VIA NATURAL OR ARTIFICIAL OPENING | -0.142 | 3838 | icu (-0.11), n distinct rev codes (+0.10), n imaging lines (-0.10) |
| 3E0234Z | INTRODUCTION OF SERUM, TOXOID AND VACCINE INTO MUSCLE, PERCUTANEOUS APPROACH | -0.166 | 11474 | organ system count (-0.10), length of stay (+0.10), n imaging lines (-0.08) |
Tier 2 (n=6 codes)
| code | Description | Score | N claims | Key drivers |
|---|---|---|---|---|
| 30233N1 | TRANSFUSION OF NONAUTOLOGOUS RED BLOOD CELLS INTO PERIPHERAL VEIN, PERCUTANEOUS APPROACH | 4.924 | 6048 | transfusion (+0.93), n distinct rev codes (+0.84), relative claim charge (+0.59) |
| 3E0T3BZ | INTRODUCTION OF ANESTHETIC AGENT INTO PERIPHERAL NERVES AND PLEXI, PERCUTANEOUS APPROACH | 1.521 | 1774 | n distinct rev codes (+0.51), or (+0.49), relative claim charge (+0.27) |
| 0UH90HZ | INSERTION OF CONTRACEPTIVE DEVICE INTO UTERUS, OPEN APPROACH | 1.468 | 2262 | or (+0.48), n j code lines (+0.34), relative claim charge (+0.32) |
| 0HB7XZZ | EXCISION OF ABDOMEN SKIN, EXTERNAL APPROACH | 0.858 | 1085 | organ system count (+0.43), or (+0.39), n j code lines (+0.25) |
| 3E0E7GC | INTRODUCTION OF OTHER THERAPEUTIC SUBSTANCE INTO PRODUCTS OF CONCEPTION, VIA NATURAL OR ARTIFICIAL OPENING | 0.677 | 1856 | n j code lines (+0.49), n distinct rev codes (+0.23), work rvu (+0.19) |
| 3E033GC | INTRODUCTION OF OTHER THERAPEUTIC SUBSTANCE INTO PERIPHERAL VEIN, PERCUTANEOUS APPROACH | 0.640 | 1137 | n imaging lines (+0.48), organ system count (+0.39), n distinct rev codes (-0.30) |
Tier 3 (n=1 codes)
| code | Description | Score | N claims | Key drivers |
|---|---|---|---|---|
| 02HV33Z | INSERTION OF INFUSION DEVICE INTO SUPERIOR VENA CAVA, PERCUTANEOUS APPROACH | 15.402 | 1165 | dialysis (+2.08), icu (+2.06), mechanical ventilation (+2.06) |
Key Driver Frequency
| feature | count | pct |
|---|---|---|
| relative claim charge | 18 | 45.000 |
| organ system count | 17 | 42.500 |
| n distinct rev codes | 17 | 42.500 |
| n imaging lines | 15 | 37.500 |
| n j code lines | 14 | 35.000 |
| length of stay | 14 | 35.000 |
| or | 12 | 30.000 |
| icu | 6 | 15.000 |
| dialysis | 3 | 7.500 |
| work rvu | 1 | 2.500 |
| n distinct hcps | 1 | 2.500 |
| transfusion | 1 | 2.500 |
| mechanical ventilation | 1 | 2.500 |
