OP - HE.1.CVC
CM Codes
Data Overview
7173 total codes in komodo_rii; 207 retained after n_claims > 500 filter.
| CMS severity | n codes |
|---|---|
| No CC/MCC | 119 |
| CC | 87 |
| MCC | 1 |
PCA Analysis
PC1 explains 23.6% of variance; PC1+PC2 together explain 42.8%.



Tier Clustering (k=3)

Tier Summary
| tier | n_codes | n_claims | organ system count | n j code lines | work rvu | n distinct rev codes | or | relative claim charge | n distinct hcps | n imaging lines |
|---|---|---|---|---|---|---|---|---|---|---|
| 1 | 100.000 | 266190.000 | 2.200 | 5.063 | 7.264 | 8.310 | 0.792 | 1.010 | 0.745 | 0.023 |
| 2 | 53.000 | 214819.000 | 3.408 | 5.499 | 7.293 | 8.446 | 0.831 | 1.049 | 0.728 | 0.017 |
| 3 | 54.000 | 177790.000 | 4.433 | 5.912 | 6.992 | 8.531 | 0.868 | 1.052 | 0.732 | 0.012 |
CMS Severity × intensity Tier
| cms_severity | Tier 1 | Tier 2 | Tier 3 | All |
|---|---|---|---|---|
| CC | 65 | 17 | 5 | 87 |
| MCC | 0 | 0 | 1 | 1 |
| No CC/MCC | 35 | 36 | 48 | 119 |
| All | 100 | 53 | 54 | 207 |
Feature Analysis
Feature Correlation

Feature Audit
| pc1_loading | r_with_volume | r_with_severity | |
|---|---|---|---|
| avg_organ_system_count | 0.529 | -0.070 | -0.405 |
| rate_or | 0.504 | 0.060 | -0.371 |
| avg_n_j_code_lines | 0.462 | 0.061 | -0.545 |
| avg_relative_claim_charge | 0.242 | -0.212 | -0.154 |
| avg_n_distinct_rev_codes | 0.227 | -0.173 | -0.034 |
| rate_dialysis | 0.190 | 0.119 | -0.194 |
| rate_mechanical_ventilation | 0.122 | 0.124 | -0.104 |
| avg_length_of_stay | 0.000 | nan | nan |
| rate_multiple_or_days | 0.000 | nan | nan |
| rate_transfusion | -0.016 | -0.068 | -0.159 |
| rate_icu | -0.075 | 0.170 | 0.085 |
| avg_n_distinct_hcps | -0.123 | 0.026 | -0.061 |
| avg_work_rvu | -0.130 | -0.279 | 0.379 |
| avg_n_imaging_lines | -0.233 | -0.014 | 0.427 |
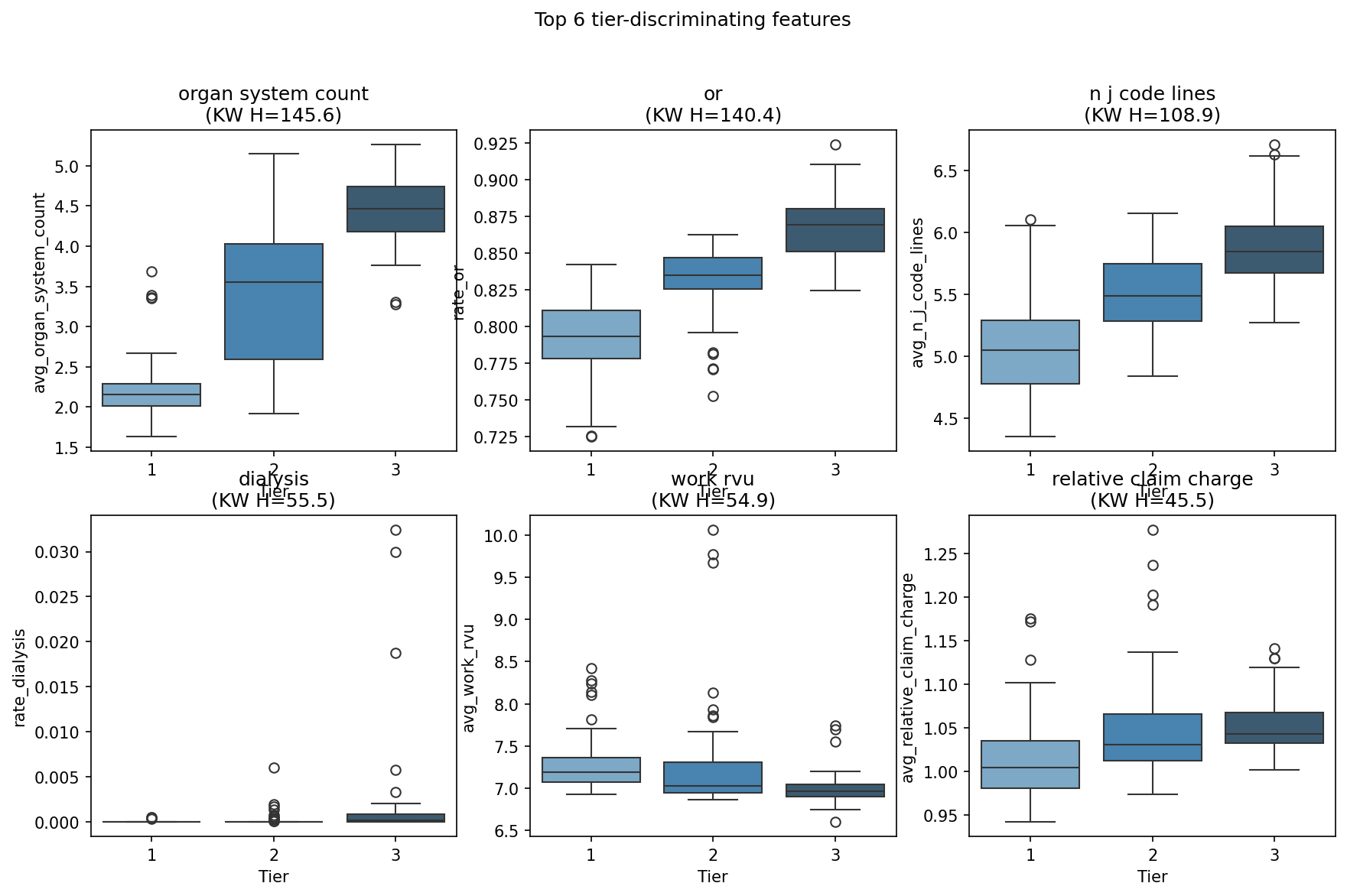
Top 6 Tier-Discriminating Features

Bottom 6 Tier-Discriminating Features

Score Validation



Misclassification Audit (N=10 samples)
Over-tiered: Tier 3, No CC/MCC (5 codes)
| code | code_description | cms_severity | intensity_score | tier | n_claims | key_drivers |
|---|---|---|---|---|---|---|
| D631 | Anemia in chronic kidney disease | No CC/MCC | 3.756 | 3 | 994 | dialysis (+1.03), or (+0.81), organ system count (+0.78) |
| I872 | Venous insufficiency (chronic) (peripheral) | No CC/MCC | 3.397 | 3 | 4142 | or (+1.29), n j code lines (+1.15), relative claim charge (+0.25) |
| J4489 | Other specified chronic obstructive pulmonary disease | No CC/MCC | 3.393 | 3 | 741 | n j code lines (+1.14), or (+1.12), organ system count (+0.86) |
| I509 | Heart failure, unspecified | No CC/MCC | 3.309 | 3 | 3656 | mechanical ventilation (+1.11), or (+0.83), organ system count (+0.53) |
| I110 | Hypertensive heart disease with heart failure | No CC/MCC | 3.226 | 3 | 3600 | mechanical ventilation (+1.13), or (+0.82), organ system count (+0.46) |
Under-tiered: Tier 1, MCC (0 codes)
None.
Top Codes by Tier
Tier 1 (n=100 codes)
| code | Description | CMS severity | Score | N claims | Key drivers |
|---|---|---|---|---|---|
| C3412 | Malignant neoplasm of upper lobe, left bronchus or lung | CC | -0.618 | 4545 | icu (-0.39), n j code lines (-0.31), or (+0.26) |
| C029 | Malignant neoplasm of tongue, unspecified | No CC/MCC | -0.618 | 757 | organ system count (-0.44), n distinct hcps (+0.18), n j code lines (-0.16) |
| C250 | Malignant neoplasm of head of pancreas | CC | -0.625 | 4491 | organ system count (-0.36), n imaging lines (-0.11), or (-0.08) |
| D500 | Iron deficiency anemia secondary to blood loss (chronic) | No CC/MCC | -0.634 | 1025 | n j code lines (-0.50), organ system count (-0.22), relative claim charge (-0.14) |
| C210 | Malignant neoplasm of anus, unspecified | CC | -0.640 | 2150 | organ system count (-0.41), n distinct rev codes (-0.22), relative claim charge (-0.12) |
| C3431 | Malignant neoplasm of lower lobe, right bronchus or lung | CC | -0.666 | 2881 | n j code lines (-0.27), relative claim charge (-0.26), organ system count (-0.24) |
| J90 | Pleural effusion, not elsewhere classified | CC | -0.670 | 1379 | n imaging lines (-0.65), relative claim charge (+0.46), or (-0.33) |
| G90A | Postural orthostatic tachycardia syndrome [POTS] | No CC/MCC | -0.670 | 775 | or (-1.08), n j code lines (+0.61), n distinct rev codes (-0.32) |
| C3490 | Malignant neoplasm of unspecified part of unspecified bronchus or lung | CC | -0.715 | 12033 | n j code lines (-0.46), organ system count (-0.35), relative claim charge (-0.23) |
| C50311 | Malignant neoplasm of lower-inner quadrant of right female breast | No CC/MCC | -0.744 | 786 | organ system count (-0.51), n j code lines (+0.38), or (-0.27) |
Tier 2 (n=53 codes)
| code | Description | CMS severity | Score | N claims | Key drivers |
|---|---|---|---|---|---|
| J45909 | Unspecified asthma, uncomplicated | No CC/MCC | 1.347 | 6796 | n j code lines (+0.71), organ system count (+0.60), n distinct rev codes (-0.27) |
| F411 | Generalized anxiety disorder | No CC/MCC | 1.322 | 624 | organ system count (+0.72), n j code lines (+0.33), or (+0.28) |
| N400 | Benign prostatic hyperplasia without lower urinary tract symptoms | No CC/MCC | 1.306 | 2279 | organ system count (+0.81), or (+0.46), n distinct hcps (-0.12) |
| M549 | Dorsalgia, unspecified | No CC/MCC | 1.248 | 649 | organ system count (+1.02), n j code lines (+0.33), n distinct hcps (-0.15) |
| N184 | Chronic kidney disease, stage 4 (severe) | CC | 1.245 | 647 | organ system count (+0.64), or (+0.30), n imaging lines (+0.24) |
| M810 | Age-related osteoporosis without current pathological fracture | No CC/MCC | 1.194 | 1961 | organ system count (+0.72), or (+0.41), n imaging lines (+0.14) |
| T82514A | Breakdown (mechanical) of infusion catheter, initial encounter | CC | 1.187 | 771 | relative claim charge (+0.99), work rvu (-0.74), n distinct hcps (+0.26) |
| M329 | Systemic lupus erythematosus, unspecified | No CC/MCC | 1.171 | 643 | n j code lines (+0.69), organ system count (+0.30), n imaging lines (+0.19) |
| G629 | Polyneuropathy, unspecified | No CC/MCC | 1.150 | 1419 | organ system count (+0.69), n j code lines (+0.39), n imaging lines (+0.18) |
| F1290 | Cannabis use, unspecified, uncomplicated | No CC/MCC | 1.144 | 599 | n j code lines (+0.56), or (+0.43), organ system count (+0.36) |
Tier 3 (n=54 codes)
| code | Description | CMS severity | Score | N claims | Key drivers |
|---|---|---|---|---|---|
| I120 | Hypertensive chronic kidney disease with stage 5 chronic kidney disease or end stage renal disease | CC | 4.307 | 780 | dialysis (+1.80), organ system count (+0.59), n distinct rev codes (+0.58) |
| D631 | Anemia in chronic kidney disease | No CC/MCC | 3.756 | 994 | dialysis (+1.03), or (+0.81), organ system count (+0.78) |
| I872 | Venous insufficiency (chronic) (peripheral) | No CC/MCC | 3.397 | 4142 | or (+1.29), n j code lines (+1.15), relative claim charge (+0.25) |
| J4489 | Other specified chronic obstructive pulmonary disease | No CC/MCC | 3.393 | 741 | n j code lines (+1.14), or (+1.12), organ system count (+0.86) |
| I509 | Heart failure, unspecified | No CC/MCC | 3.309 | 3656 | mechanical ventilation (+1.11), or (+0.83), organ system count (+0.53) |
| I110 | Hypertensive heart disease with heart failure | No CC/MCC | 3.226 | 3600 | mechanical ventilation (+1.13), or (+0.82), organ system count (+0.46) |
| N186 | End stage renal disease | MCC | 3.217 | 1339 | dialysis (+1.66), or (+0.45), n distinct rev codes (+0.43) |
| I130 | Hypertensive heart and chronic kidney disease with heart failure and stage 1 through stage 4 chronic kidney disease, or unspecified chronic kidney disease | CC | 3.124 | 1348 | or (+1.03), organ system count (+0.88), n j code lines (+0.49) |
| E1151 | Type 2 diabetes mellitus with diabetic peripheral angiopathy without gangrene | No CC/MCC | 3.080 | 924 | or (+1.01), organ system count (+0.71), n j code lines (+0.44) |
| K449 | Diaphragmatic hernia without obstruction or gangrene | No CC/MCC | 2.834 | 864 | n j code lines (+1.22), or (+0.77), organ system count (+0.73) |
Key Driver Frequency
| feature | count | pct |
|---|---|---|
| organ system count | 184 | 88.900 |
| or | 143 | 69.100 |
| n j code lines | 135 | 65.200 |
| relative claim charge | 47 | 22.700 |
| n distinct rev codes | 45 | 21.700 |
| n imaging lines | 30 | 14.500 |
| n distinct hcps | 19 | 9.200 |
| work rvu | 8 | 3.900 |
| dialysis | 4 | 1.900 |
| icu | 3 | 1.400 |
| mechanical ventilation | 3 | 1.400 |
